Последнее обновление :
31/03/2026
Витамин   Phytomenadione  
Раствор для перорального приёма
Инъекция
Стабильность фармацевтических препаратов Стабильность смесей Факторы, которые влияют на стабильность Совместимость Библиография pdf
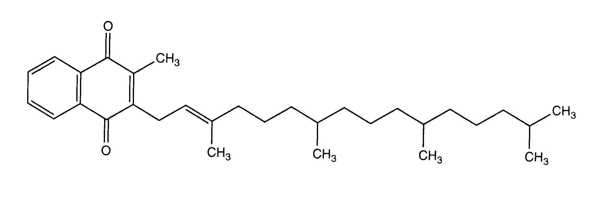
   Химическая структура  

Раствор для перорального приёма
Совместимость   Раствор для перорального приёма   Совместимость : Phytomenadione              
данных нет

  Mentions Légales