Seneste opdatering :
31/03/2026
Vitamin   Phytomenadione  
Oral opløsning
Injektion
Stabilitet af farmaceutiske tilberedninger Stabilitet i blandinger Faktorer der påvirker stabiliteten Kompatibilitet Bibliografi pdf
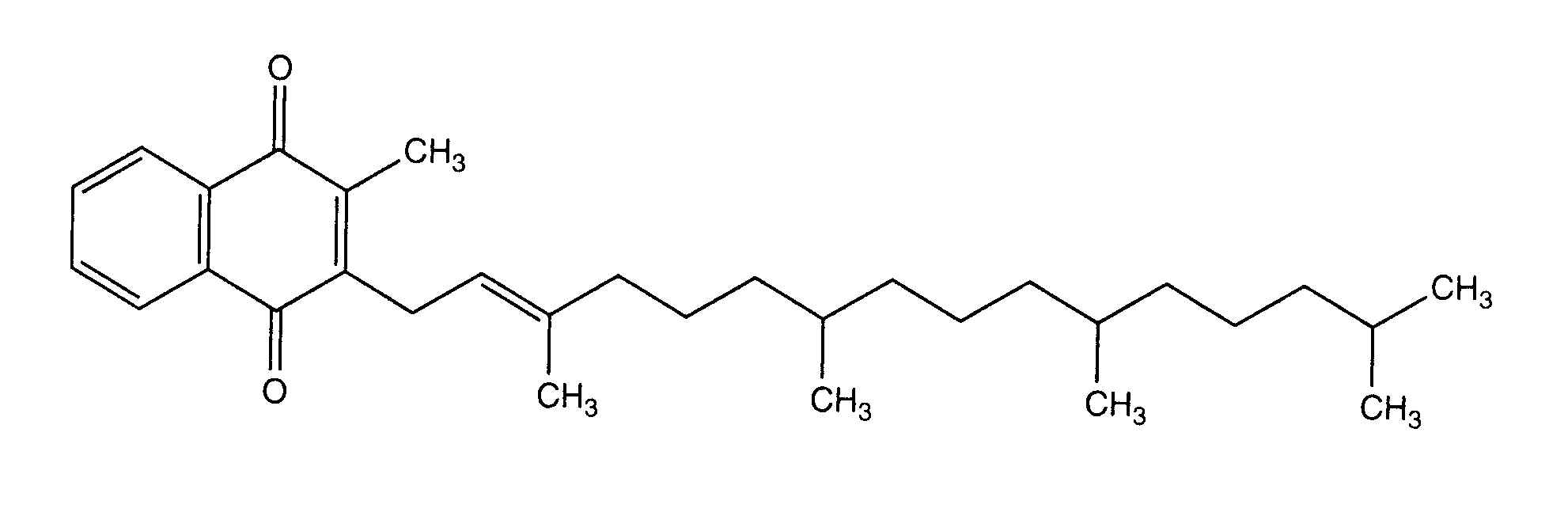
   Kemisk struktur  

Oral opløsning
Kompatibilitet   Oral opløsning   Kompatibilitet : Phytomenadione              
Ingen data

  Mentions Légales