Τελευταία ενημέρωση :
31/03/2026
Βιταμίνη   Phytomenadione  
Πόσιμο διάλυμα
Ενέσιμο
Σταθερότητα και συμβατότητα των φαρμάκων Σταθερότητα σε μίγματα Παράγοντας που επηρεάζει τη σταθερότητα Συμβατότητες Βιβλιογραφία pdf
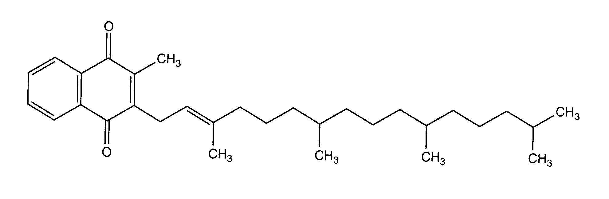
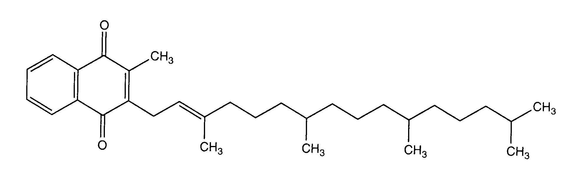
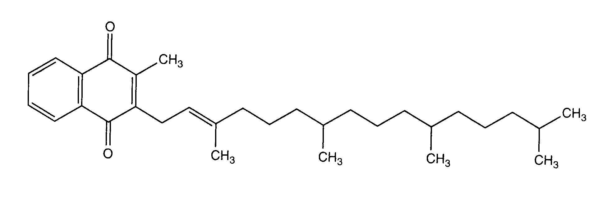
   χημική δομή  

Πόσιμο διάλυμα
Συμβατότητες    Πόσιμο διάλυμα   Συμβατότητες : Phytomenadione              
Δεν υπάρχουν πληροφορίες

  Mentions Légales