Utolsó frissítés :
31/03/2026
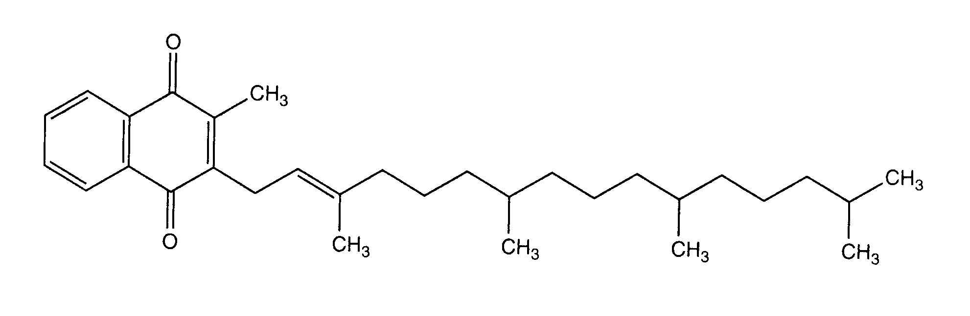
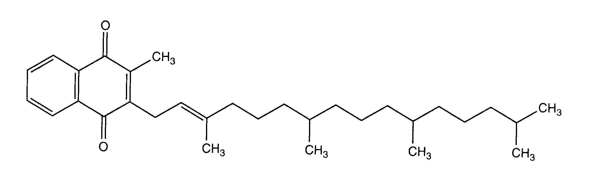
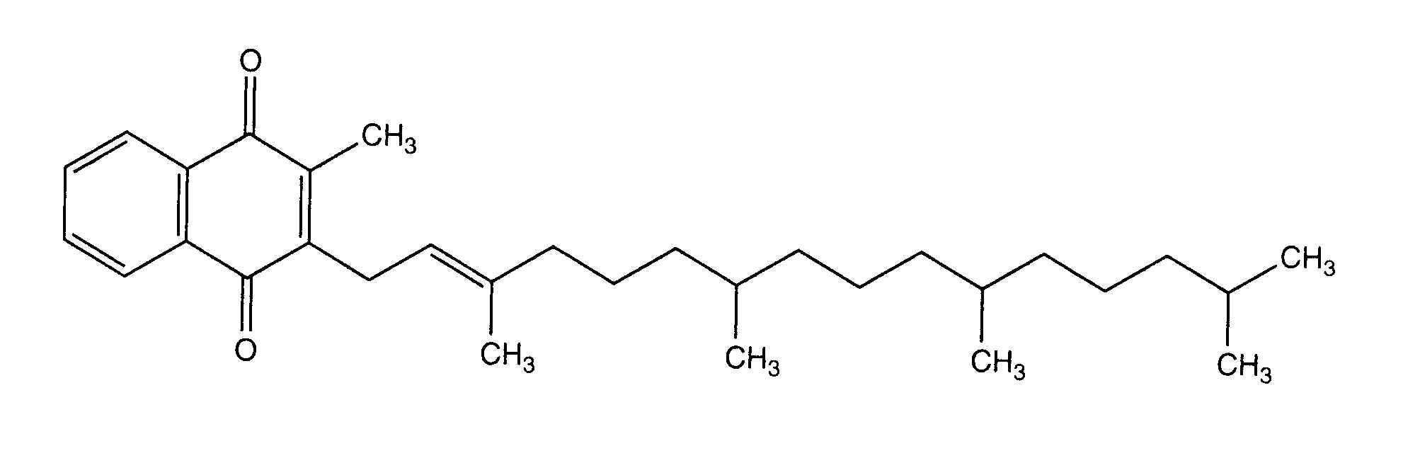
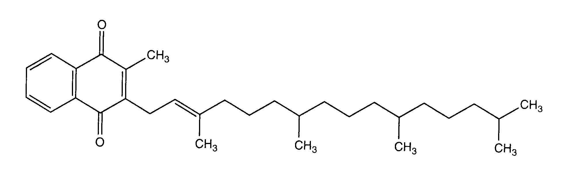
Vitamin   Phytomenadione  
belsőleges oldat
Injekció
Stabilitása gyógyszerészeti készítmények A keverékek stabilitása Stabilitást befolyásoló tényezők Kompatibilitás Irodalom pdf
   Kémiai szerkezet   

belsőleges oldat
Kompatibilitás   belsőleges oldat   Kompatibilitás : Phytomenadione              
Hiányzó adat

  Mentions Légales