Posledná aktualizácia :
31/03/2026
vitamín   Phytomenadione  
Perorálny roztok
Injekcia
Stabilita farmaceutických prípravkov Stabilita v zmesiach Faktory ovplyvňujúce stabilitu Kompatibility Odkazy na literatúru PDF
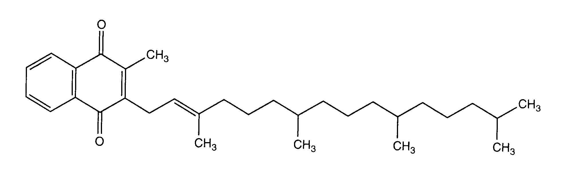
   Chemický vzorec  

Perorálny roztok
Kompatibility   Perorálny roztok   Kompatibility : Phytomenadione              
žiadne údaje

  Mentions Légales