Ultimo aggiornamento :
27/11/2025
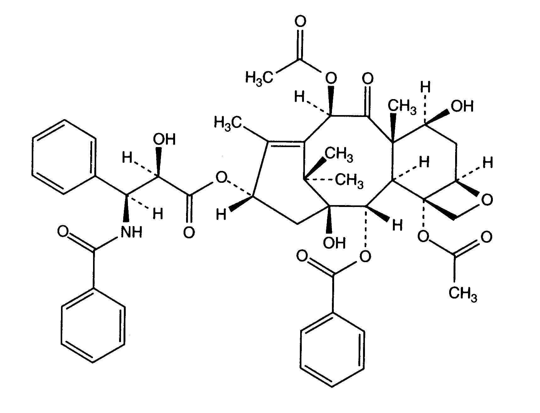
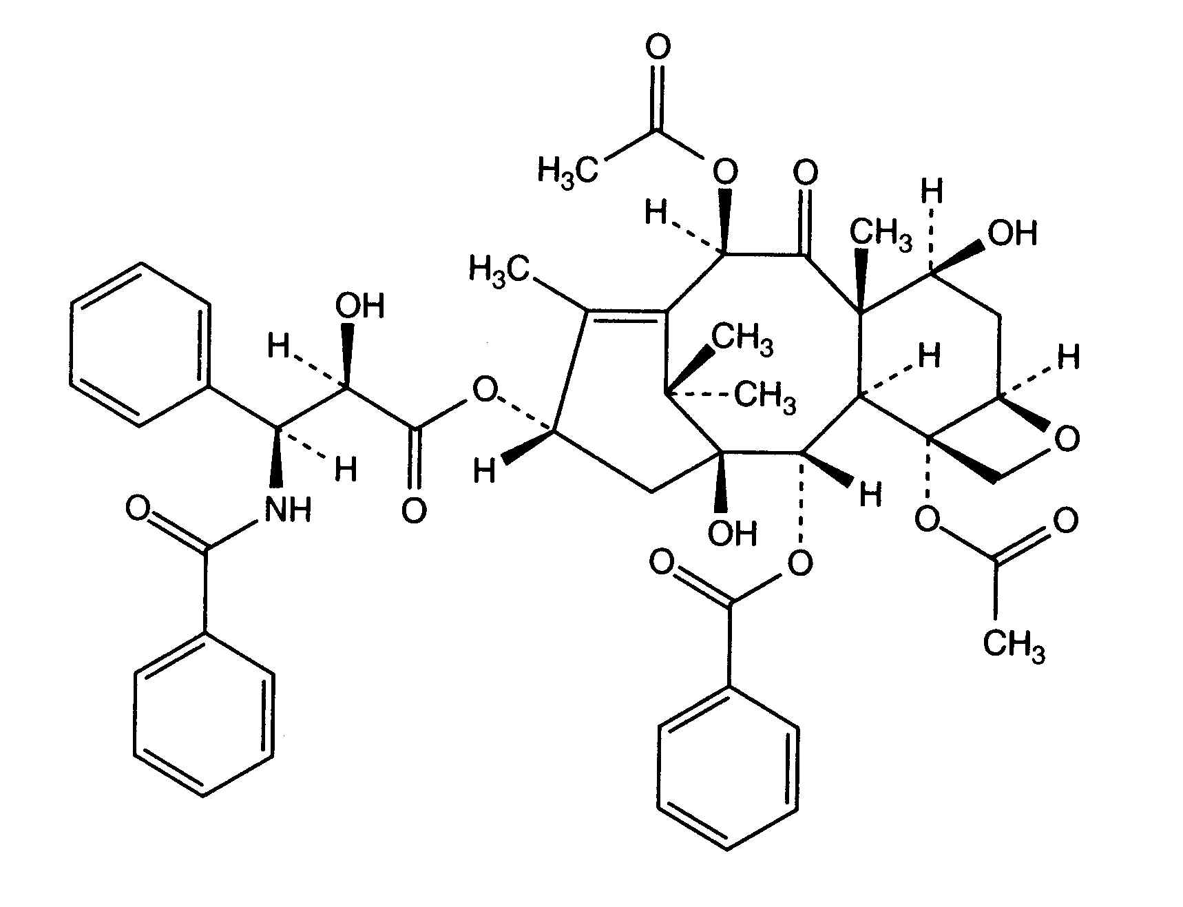
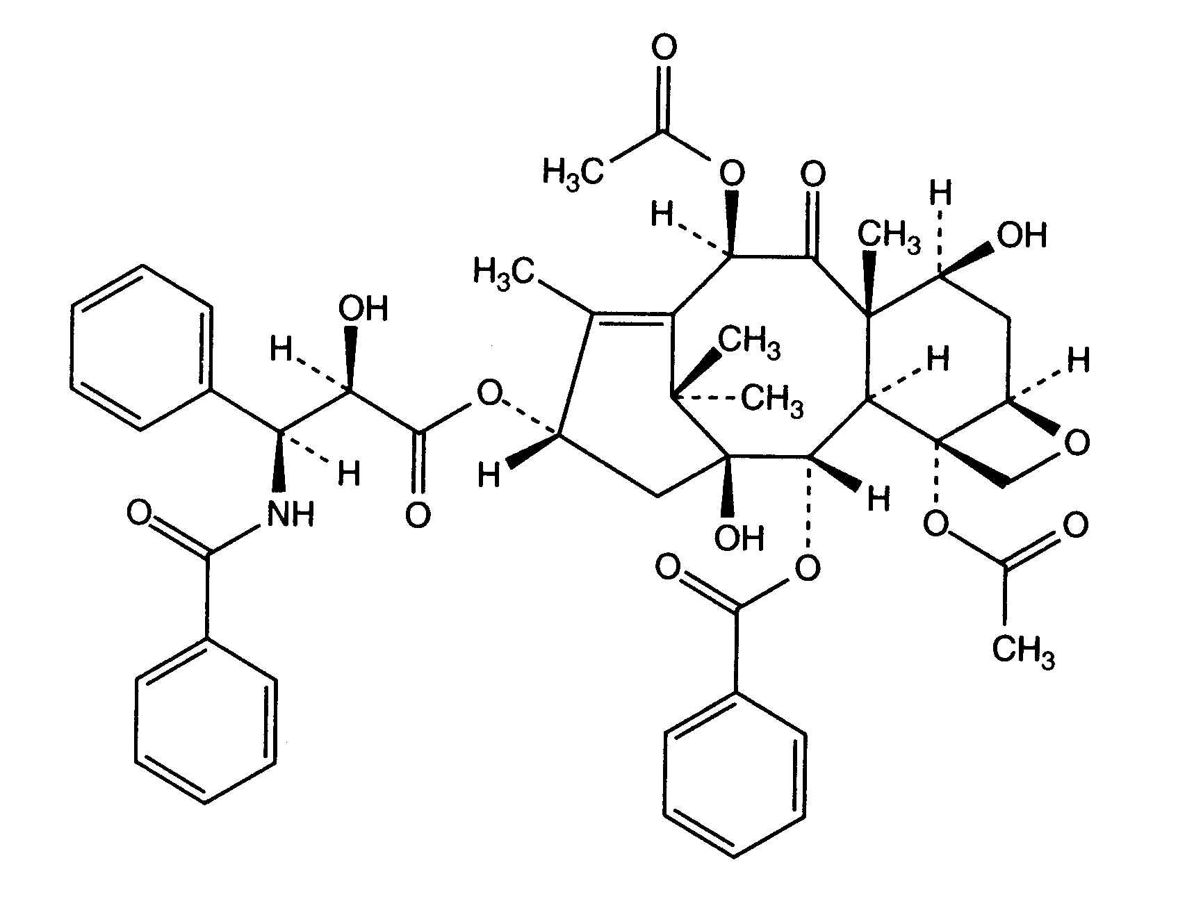
farmaco contro il cancro   Paclitaxel  
Iniezione
Stabilità in soluzione Stabilità in miscela Fattori che influenzano la stabilità Compatibilità metodo di iniezione Bibliografia pdf
   Struttura chimica  

Nome commerciale   Nome commerciale     

Trade names are indicative and excipients composition can be different depending on the country and manufacturers

Aclipak Malaysia
Acoexcel Messico
Acupaxil Marocco
Anzatax Arabia Saudita, Egitto, Emirati Arabi Uniti, Iran, Malaysia, Marocco, nuova Zelanda, Perù, Tunisia, Turchia
Aritaxel Germania
Cantaxel India
Clitaxel Argentina, Venezuela
Dalys Argentina
Ebetaxel Arabia Saudita, Austria, Iran, Marocco, Tunisia, Turchia
Genexol Egitto, India, Iran
Onxol Stati Uniti d’America
Paclinova Argentina
Paclitaxin Brasile, Lussemburgo, Malaysia, Slovenia
Parexel Brasile, Colombia, Ecuador, Venezuela
Paxene Danimarca, Grecia, Irlanda, Paesi Bassi, Polonia, Spagna
Poltaxel Polonia
Ribotax Germania
Taxol Austria, Brasile, Colombia, Danimarca, Egitto, Emirati Arabi Uniti, Giappone, Grecia, Iran, Italia, Malaysia, Marocco, nuova Zelanda, Paesi Bassi, Perù, Polonia, Portogallo, Slovenia, Svezia, Svizzera, Turchia, Venezuela
Taxomedac Germania
Vitax Brasile, Perù, Turchia

Fattori che influenzano la stabilità   Iniezione   Fattori che influenzano la stabilità : Paclitaxel        
Bibliografia
contenitore Cloruro di polivinile Provoca Salatura 38
140
158
250
412
1961
Temperatura Aumento Provoca Diminuzione della stabilità 2172
pH pH = 4 Provoca Aumento della stabilità 3093
metodo di iniezione Pompa peristaltica Provoca Precipitazione 1741
Concentrazione Aumento Provoca Precipitazione 2174
Concentrazione Aumento Provoca Diminuzione della stabilità 2172

  Mentions Légales