Zadnji put ažurirano :
27/01/2026
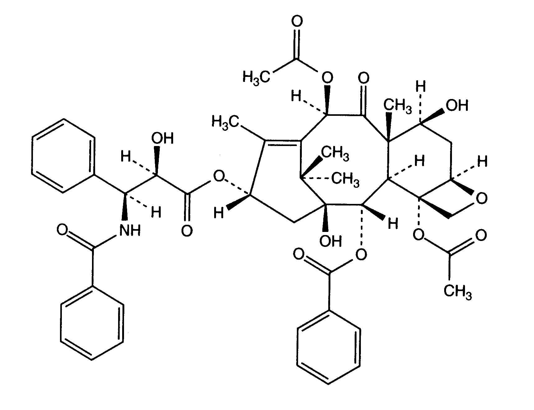
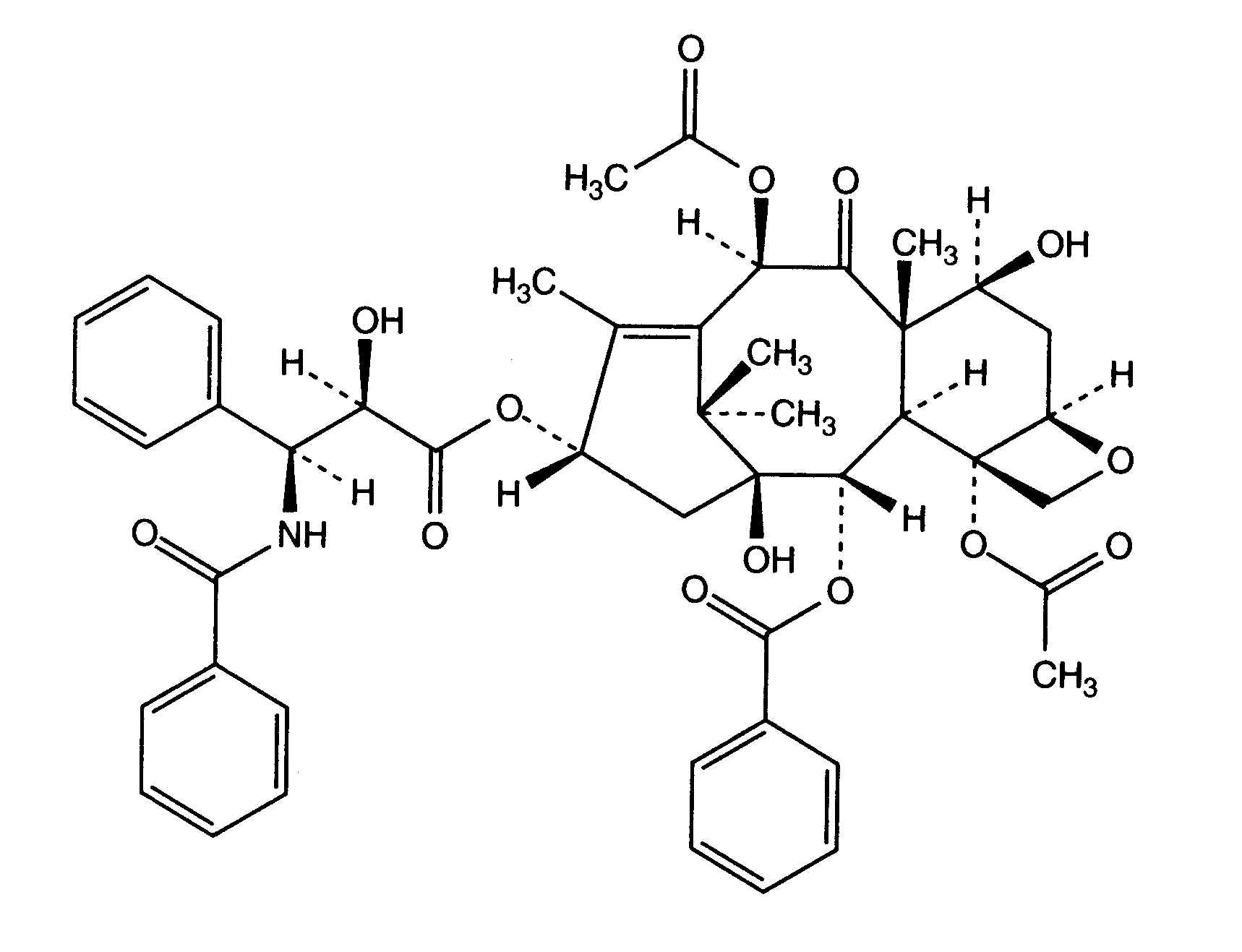
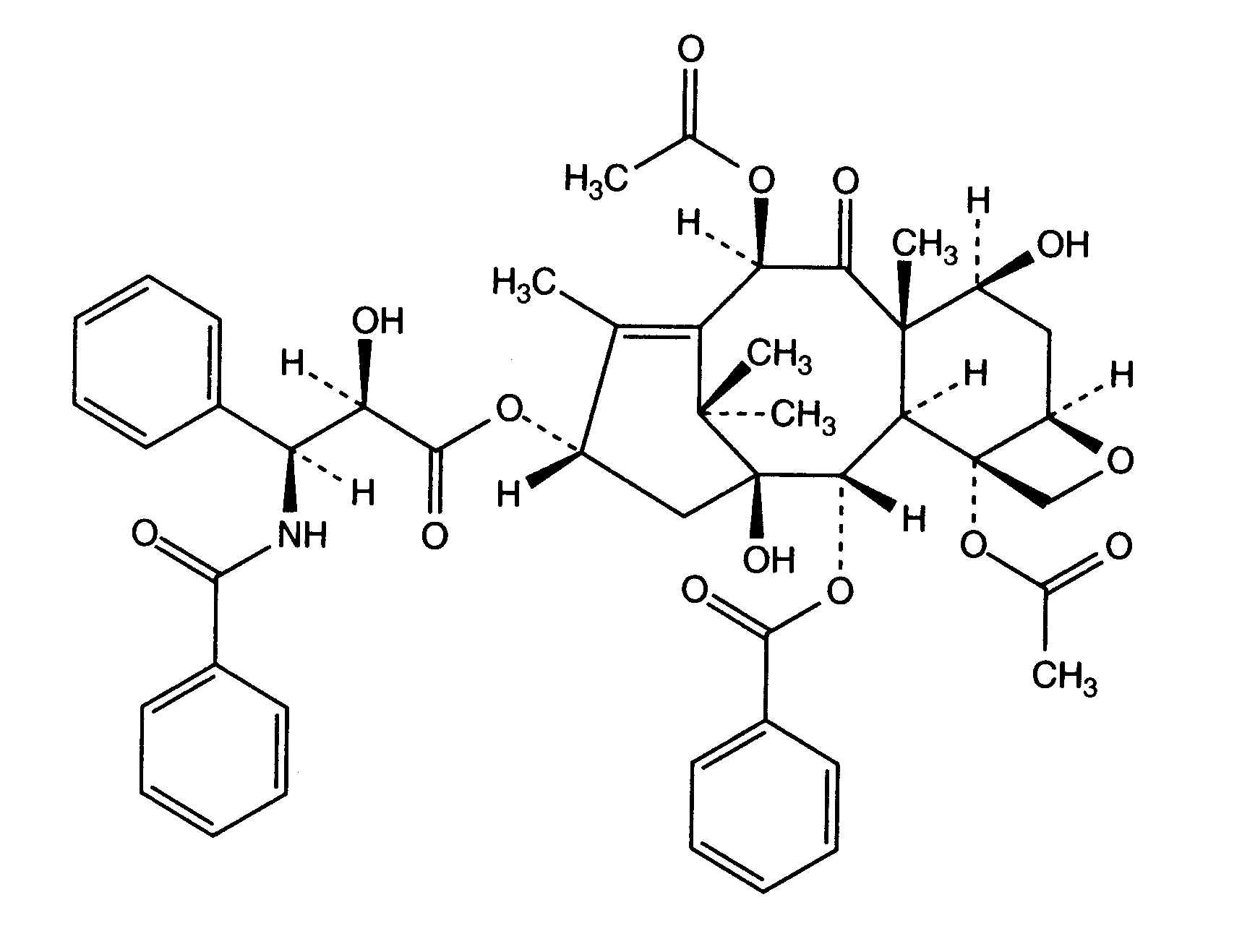
lijek protiv karcinoma   Paclitaxel  
injekcija
Stabilizacija rješenja Stabilnost mješavine Stabilizacijski faktor Kompatibilnosti način davanja lijeka Bibliografija pdf
   Kemijska struktura  

Nekomercijalni   Nekomercijalni     

Zaštićeni nazivi su indikativni i sastav ekscipijensa može biti različit ovisno o državi i laboratorijima

Aclipak Malezija
Acoexcel Meksiko
Acupaxil Maroko
Anzatax Egipat, Iran, Malezija, Maroko, novi Zeland, Peru, Saudijska Arabija, Tunis, Turska, Ujedinjeni Arapski Emirati
Aritaxel Njemačka
Cantaxel Indija
Clitaxel Argentina, Venecuela
Dalys Argentina
Ebetaxel Austrija, Iran, Maroko, Saudijska Arabija, Tunis, Turska
Genexol Indija, Egipat, Iran
Onxol S A D
Paclinova Argentina
Paclitaxin Brazil, Luksemburg, Malezija, Slovenija
Parexel Brazil, Ekvador, Kolumbija, Venecuela
Paxene Danska, Grčka, Irska, Nizozemska, Poljska, Španjolska
Poltaxel Poljska
Ribotax Njemačka
Taxol Austrija, Brazil, Danska, Egipat, Grčka, Iran, Italija, Japan, Kolumbija, Malezija, Maroko, Nizozemska, novi Zeland, Peru, Poljska, Portugal, Slovenija, Švedska, Švicarska, Turska, Ujedinjeni Arapski Emirati, Venecuela
Taxomedac Njemačka
Vitax Brazil, Peru, Turska

Stabilizacijski faktor   injekcija   Stabilizacijski faktor : Paclitaxel        
Bibliografija
Kontejner polivinilklorid izaziva ekstrakcija 38
140
158
250
412
1961
temperatura povišenje izaziva Smanjenje stabilnosti 2172
pH pH = 4 izaziva Pojačana stabilnost 3093
način davanja lijeka peristaltična pumpa izaziva oborina 1741
koncentracija povišenje izaziva oborina 2174
koncentracija povišenje izaziva Smanjenje stabilnosti 2172

  Mentions Légales