Poslední aktualizace :
27/04/2026
rakovina drog   Paclitaxel  
injekce
Stabilita roztoků Stabilita směsí Faktory ovlivňující stabilitu Kompatibilita Způsoby aplikace Odkazy pdf
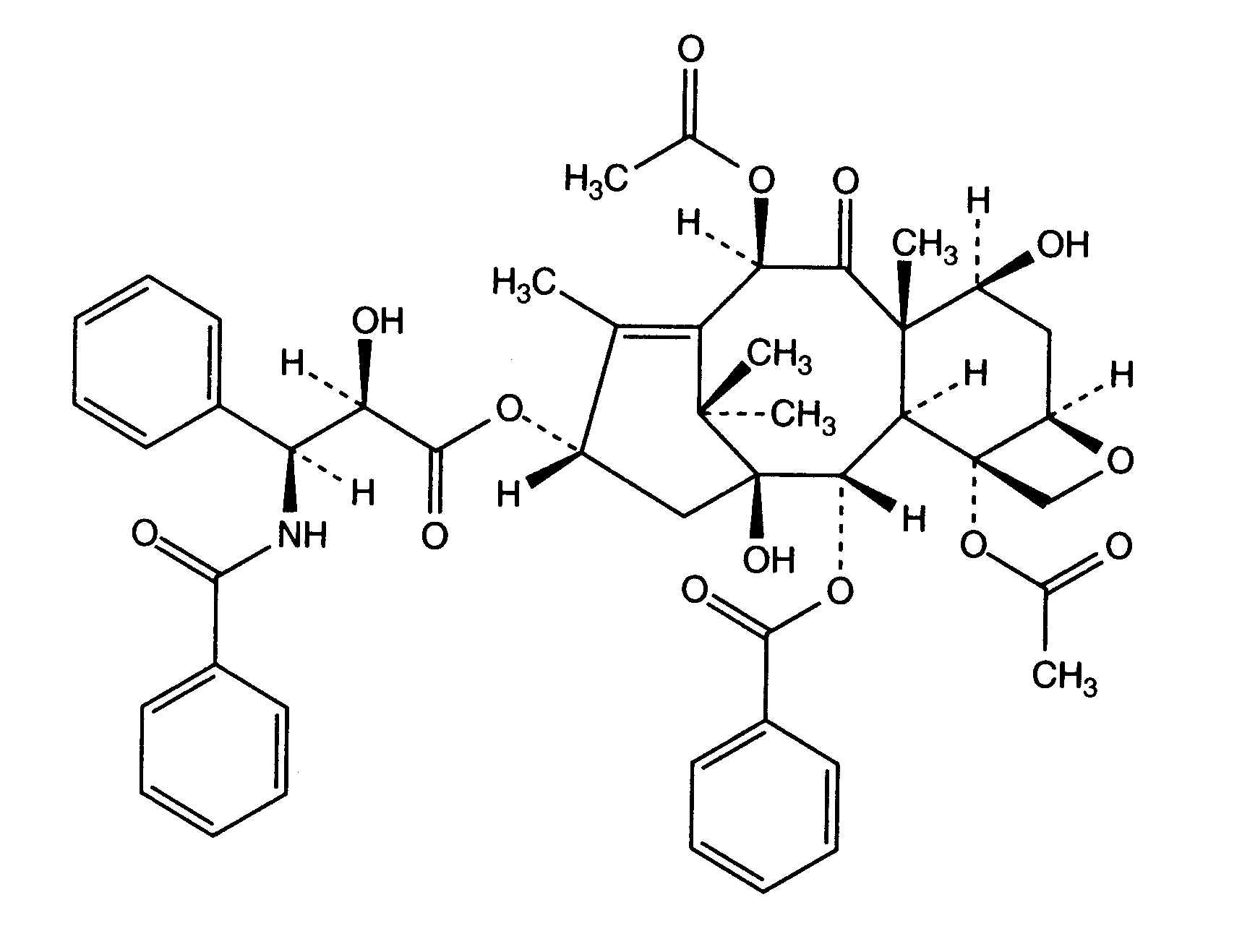
   Chemický vzorec  

Obchodní název   Obchodní název     

Trade names are indicative and excipients composition can be different depending on the country and manufacturers

Aclipak Malajsie
Acoexcel Mexiko
Acupaxil Maroko
Anzatax Egypt, Írán, Malajsie, Maroko, nový Zéland, Peru, Saúdská Arábie, Spojené arabské emiráty, Tunisko, Turecko
Aritaxel NÏmecko
Cantaxel Indie
Clitaxel Argentina, Venezuela
Dalys Argentina
Ebetaxel Írán, Maroko, Rakousko, Saúdská Arábie, Tunisko, Turecko
Genexol Egypt, Indie, Írán
Onxol USA
Paclinova Argentina
Paclitaxin BrazÌlie, Lucembursko, Malajsie, Slovinsko
Parexel BrazÌlie, Ekvádor, Kolumbie, Venezuela
Paxene äpanÏlsko, Dánsko, Irsko, Nizozemsko, Polsko, ÿecko
Poltaxel Polsko
Ribotax NÏmecko
Taxol BrazÌlie, Dánsko, Egypt, Írán, Itálie, Japonsko, Kolumbie, Malajsie, Maroko, Nizozemsko, nový Zéland, Peru, Polsko, Portugalsko, Rakousko, Slovinsko, Spojené arabské emiráty, Švédsko, Švýcarsko, Turecko, Venezuela, ÿecko
Taxomedac NÏmecko
Vitax BrazÌlie, Peru, Turecko

Faktory ovlivňující stabilitu   injekce   Faktory ovlivňující stabilitu : Paclitaxel        
Odkazy
Obal Polyvinyl chlorid Indukuje Vyluhování 38
140
158
250
412
1961
Teplota Zvyšuje Indukuje Snížená stabilita 2172
pH pH = 4 Indukuje Zvýšená stabilita 3093
Způsoby aplikace Peristaltická pumpa Indukuje Sraûenina 1741
Koncentrace Zvyšuje Indukuje Sraûenina 2174
Koncentrace Zvyšuje Indukuje Snížená stabilita 2172

  Mentions Légales