Viimeisin päivitys :
27/01/2026
syöpälääke   Paclitaxel  
Injektioneste
Stabilius liuoksessa Stabilius seoksissa Tekijät, jotka vaikuttavat stabiliuteen Yhteensopivuus Antotapa Viitteet pdf
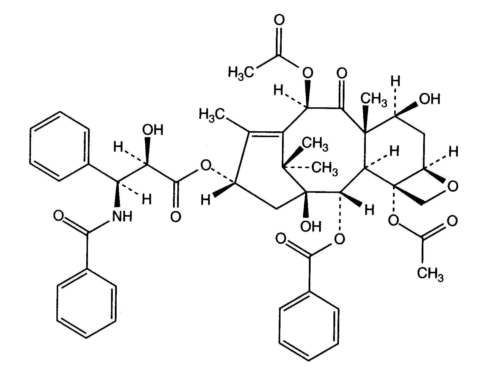
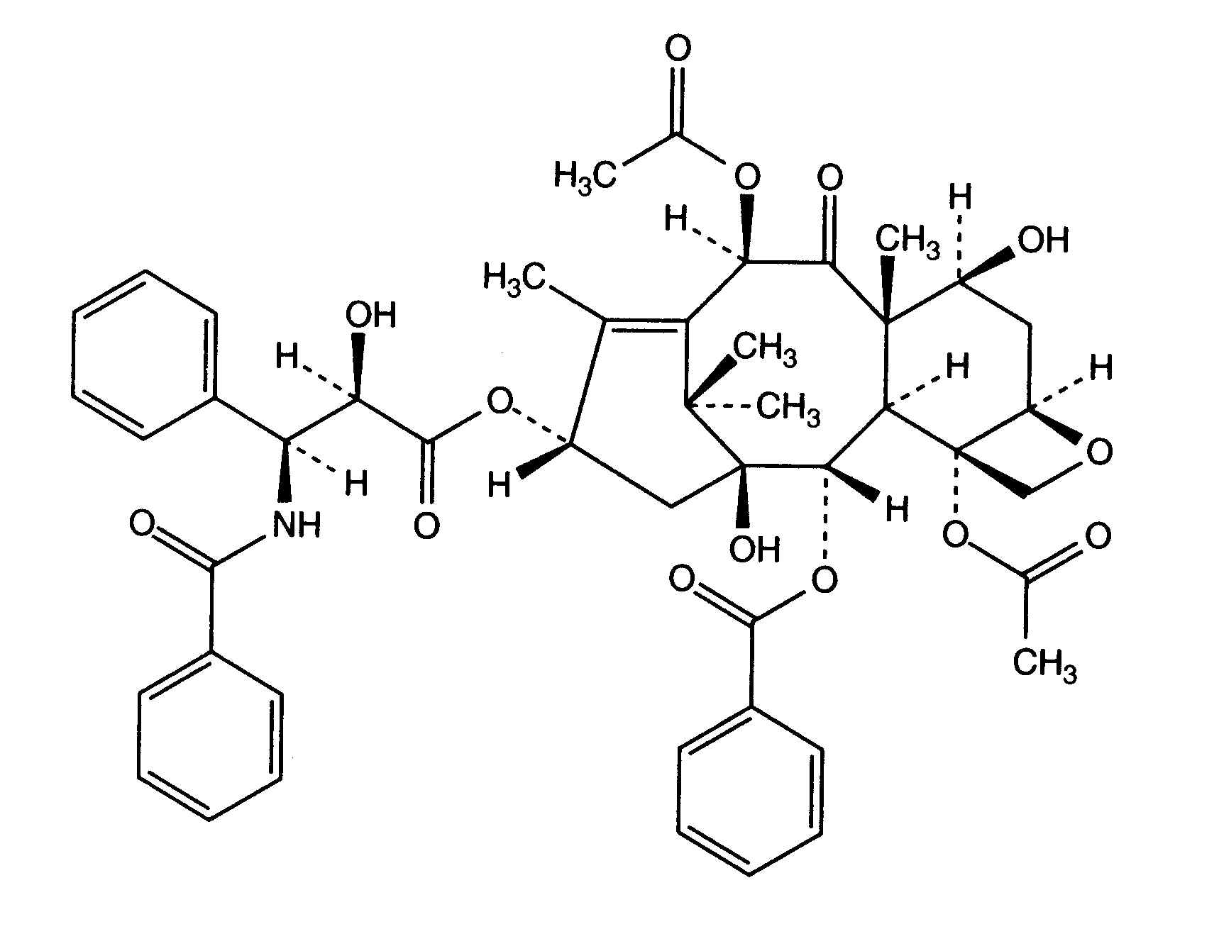
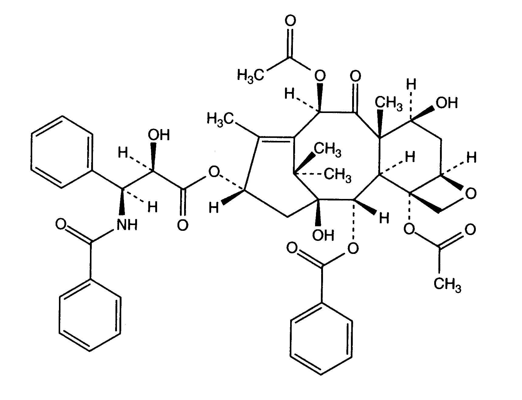
   Kemiallinen rakenne  

Kauppanimi   Kauppanimi     

Trade names are indicative and excipients composition can be different depending on the country and manufacturers

Aclipak Malesia
Acoexcel Meksiko
Acupaxil Marokko
Anzatax Egypti, Iran, Malesia, Marokko, Marokko, New Zealand, Saudi-Arabia, Tunisia, Turkki, Yhdistyneet arabiemiirikunnat
Aritaxel Saksa
Cantaxel Intia
Clitaxel Argentiina, Venezuela
Dalys Argentiina
Ebetaxel Iran, Itävalta, Marokko, Saudi-Arabia, Tunisia, Turkki
Genexol Egypti, Intia, Iran
Onxol Yhdysvallat
Paclinova Argentiina
Paclitaxin Brasilia, Luxemburg, Malesia, Slovenia
Parexel Brasilia, Ecuador, Kolumbia, Venezuela
Paxene Espanja, Hollanti, Irlanti, Kreikka, Puola, Tanska
Poltaxel Puola
Ribotax Saksa
Taxol Brasilia, Egypti, Hollanti, Iran, Italia, Itävalta, Japani, Kolumbia, Kreikka, Malesia, Marokko, Marokko, New Zealand, Portugali, Puola, Ruotsi, Slovenia, Sveitsi, Tanska, Turkki, Venezuela, Yhdistyneet arabiemiirikunnat
Taxomedac Saksa
Vitax Brasilia, Marokko, Turkki

Tekijät, jotka vaikuttavat stabiliuteen   Injektioneste   Tekijät, jotka vaikuttavat stabiliuteen : Paclitaxel        
Viitteet
Astia Polyvinyylikloridi Aiheuttaa Uuttuminen 38
140
158
250
412
1961
Lämpötila Nousu Aiheuttaa Alentunut stabilius 2172
pH pH = 4 Aiheuttaa Lisääntynyt stabilius 3093
Antotapa Peristalttinen pumppu Aiheuttaa Saostuminen 1741
Konsentraatio Nousu Aiheuttaa Saostuminen 2174
Konsentraatio Nousu Aiheuttaa Alentunut stabilius 2172

  Mentions Légales