viimane versioon :
27/11/2025
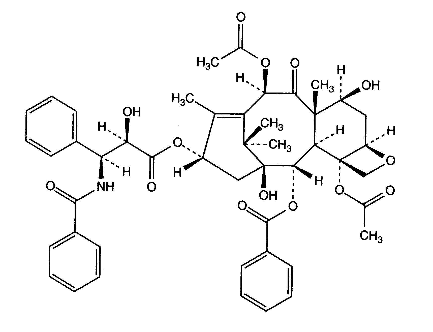
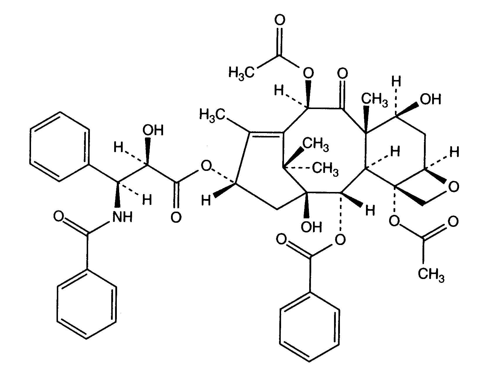
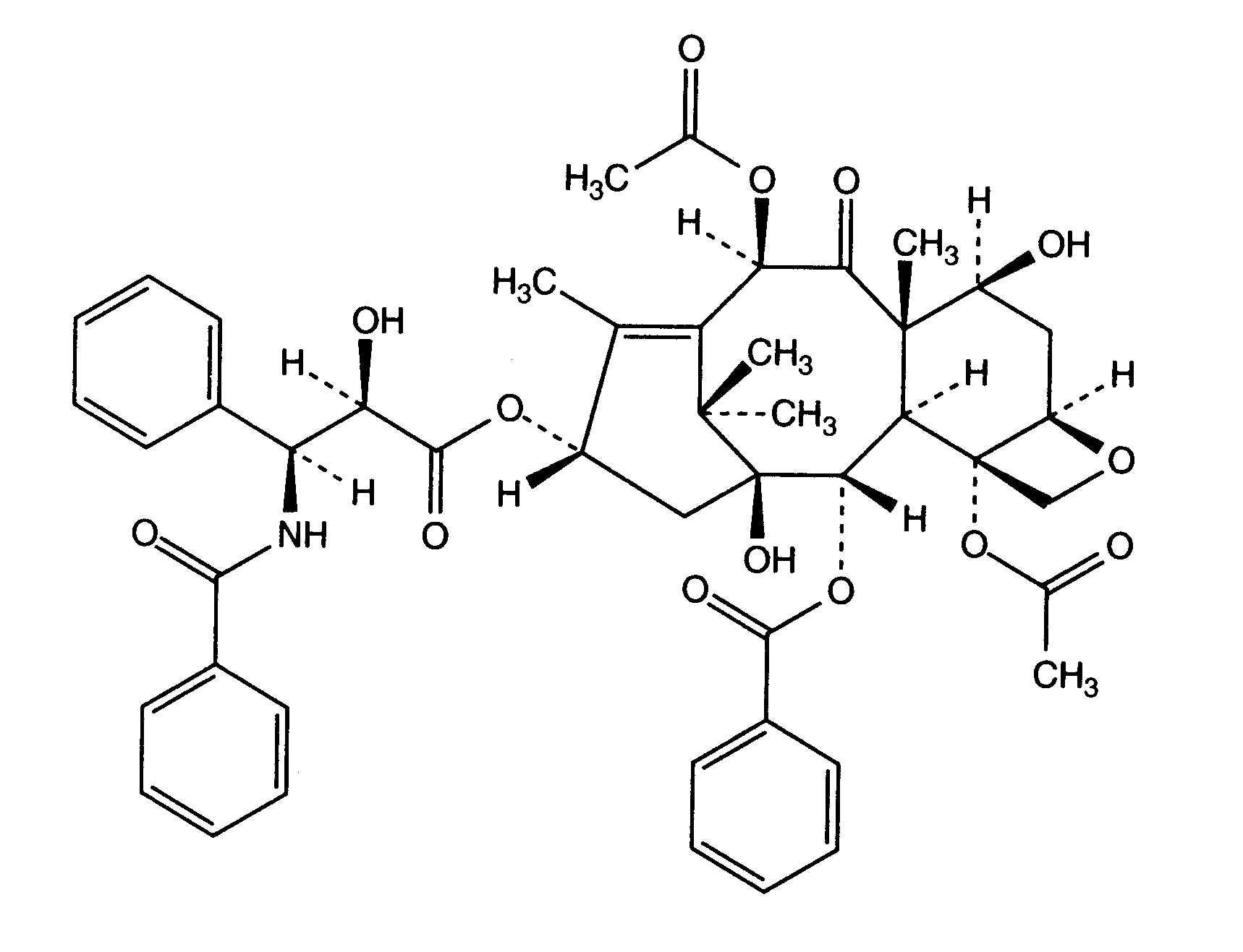
vähiravimite   Paclitaxel  
Süsteravim
Stabiilsus lahustes Stabiilsust mõjutavad tegurid stabiilsust mõjutavad faktorid Sobimatus Manustamis viis Viited pdf
   keemiline struktuur  

Kaubanduslikud nimed erinevates maades   Kaubanduslikud nimed erinevates maades     

Preparaatide nimed on näitlikud ja abianete sisaldus võib erineda sõltuvalt riigist ja laborist

Aclipak Malaisia
Acoexcel Mehhiko
Acupaxil Maroko
Anzatax Araabia Ühendemiraadid, Egiptus, Iraan, Malaisia, Maroko, Maroko, Saudi Araabia, Tuneesia, Türgi, uus-Meremaa
Aritaxel Saksamaa
Cantaxel India
Clitaxel Argentiina, Venetsueela
Dalys Argentiina
Ebetaxel Austria, Iraan, Maroko, Saudi Araabia, Tuneesia, Türgi
Genexol Egiptus, India, Iraan
Onxol Ameerika ühendriigid
Paclinova Argentiina
Paclitaxin Brasiilia, Luksemburg, Malaisia, Sloveenia
Parexel Brasiilia, Ecuador, Kolumbia, Venetsueela
Paxene Hispaania, Holland, Iirimaa, Kreeka, Poola, Taani
Poltaxel Poola
Ribotax Saksamaa
Taxol Araabia Ühendemiraadid, Austria, Brasiilia, Egiptus, Holland, Iraan, Itaalia, Jaapan, Kolumbia, Kreeka, Malaisia, Maroko, Maroko, Poola, Portugal, Rootsi, Sloveenia, Sveits, Taani, Türgi, uus-Meremaa, Venetsueela
Taxomedac Saksamaa
Vitax Brasiilia, Maroko, Türgi

stabiilsust mõjutavad faktorid   Süsteravim   stabiilsust mõjutavad faktorid : Paclitaxel        
Viited
konteiner polüvinüülkloriid indutseerib eraldumine 38
140
158
250
412
1961
temperatuur suurenemine indutseerib vähenenud stabiilsus 2172
pH pH = 4 indutseerib stabiilsuse suurenemine 3093
Manustamis viis peristaltiline pump indutseerib sadenemine 1741
kontsentratsioon suurenemine indutseerib sadenemine 2174
kontsentratsioon suurenemine indutseerib vähenenud stabiilsus 2172

  Mentions Légales