最新更新 :
27/11/2025
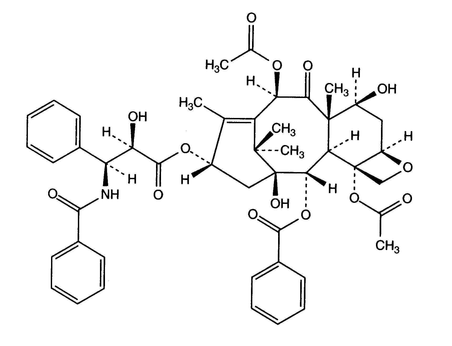
抗癌藥物   Paclitaxel  
注射液
溶液稳定性 混合物稳定性 影响稳定性的因素 兼容性 用药途径 引用文献 PDF
   化学式  

商品名   商品名     

商品名仅供参考, 药品所用的辅料可能依国家或厂商不同有所不同。

Aclipak 马来西亚
Acoexcel 墨西哥
Acupaxil 摩洛哥
Anzatax 伊朗, 土耳其, 埃及, 摩洛哥, 新西蘭, 沙特阿拉伯, 秘鲁, 突尼斯, 阿联酋, 马来西亚
Aritaxel 德国
Cantaxel 印度
Clitaxel 委内瑞拉, 阿根廷
Dalys 阿根廷
Ebetaxel 伊朗, 土耳其, 奥地利, 摩洛哥, 沙特阿拉伯, 突尼斯
Genexol 伊朗, 印度, 埃及
Onxol 美国
Paclinova 阿根廷
Paclitaxin 卢森堡, 巴西, 斯洛文尼亚, 马来西亚
Parexel 厄瓜多尔, 哥伦比亚, 委内瑞拉, 巴西
Paxene 丹麦, 希腊, 波兰, 爱尔兰, 荷兰, 西班牙
Poltaxel 波兰
Ribotax 德国
Taxol 丹麦, 伊朗, 哥伦比亚, 土耳其, 埃及, 奥地利, 委内瑞拉, 巴西, 希腊, 意大利, 摩洛哥, 斯洛文尼亚, 新西蘭, 日本, 波兰, 瑞典, 瑞士, 秘鲁, 荷兰, 葡萄牙, 阿联酋, 马来西亚
Taxomedac 德国
Vitax 土耳其, 巴西, 秘鲁

影响稳定性的因素   注射液   影响稳定性的因素 : Paclitaxel        
引用文献
容器 聚氯乙烯 诱导 释放 38
140
158
250
412
1961
温度 增加 诱导 稳定性减弱 2172
PH PH = 4 诱导 强化稳定性 3093
用药方法 蠕动泵 诱导 沉淀 1741
浓度 增加 诱导 沉淀 2174
浓度 增加 诱导 稳定性减弱 2172

  Mentions Légales