Последнее обновление :
05/12/2025
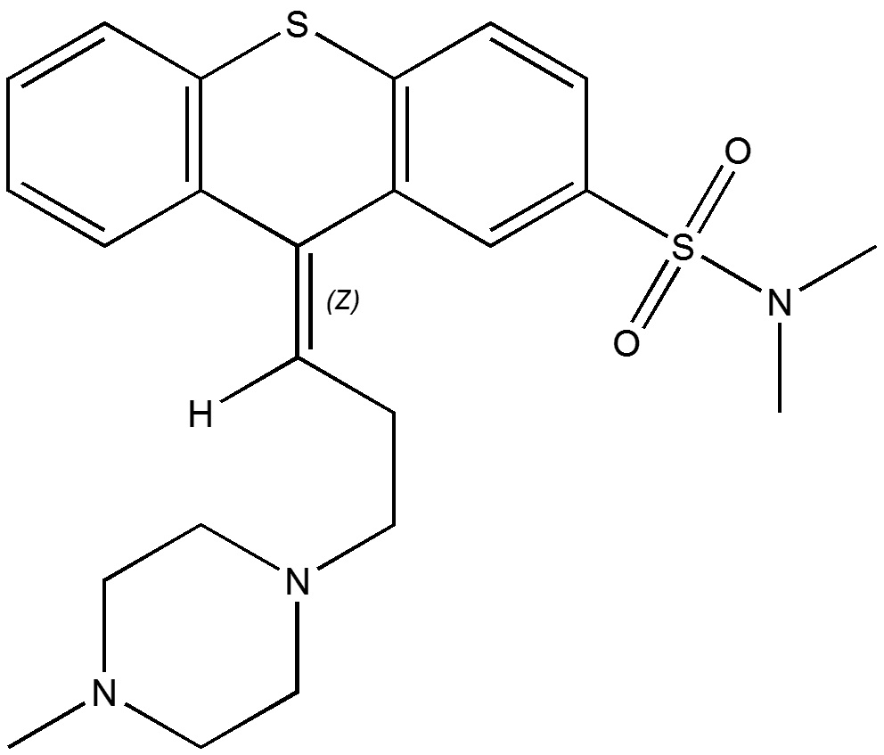
Нейролептик   Thiothixene  
Раствор для перорального приёма
Стабильность фармацевтических препаратов Стабильность смесей Факторы, которые влияют на стабильность Совместимость Библиография pdf
   Химическая структура  

Раствор для перорального приёма
Стабильность фармацевтических препаратов   Раствор для перорального приёма   Стабильность фармацевтических препаратов : Thiothixene     
данных нет

  Mentions Légales