Última actualização :
21/01/2026
Infostab
Lista de compostos
Listas de leitura dos resumos de informação
Pesquise compatibilidades
Tabela de compatibilidade do site Y
Bibliografía
As equipas de investigação
valistab
poster
Conexões
patrocinadores
Autores
Manual do utilizador
Boletim de notícias
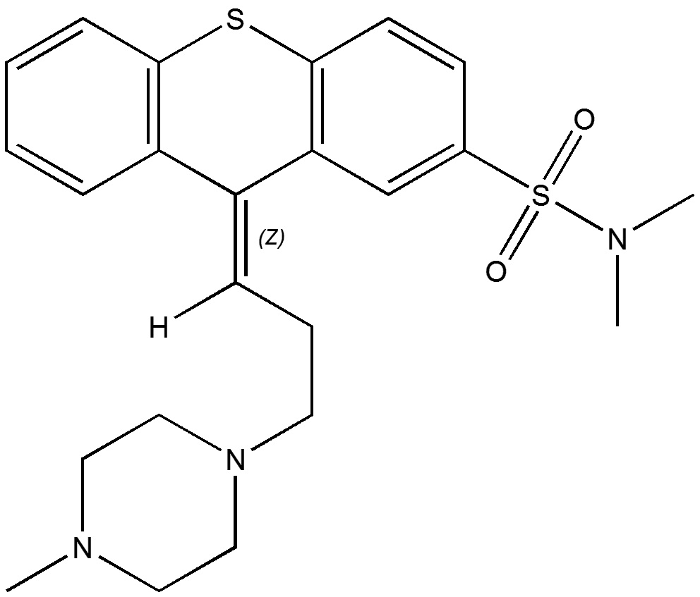
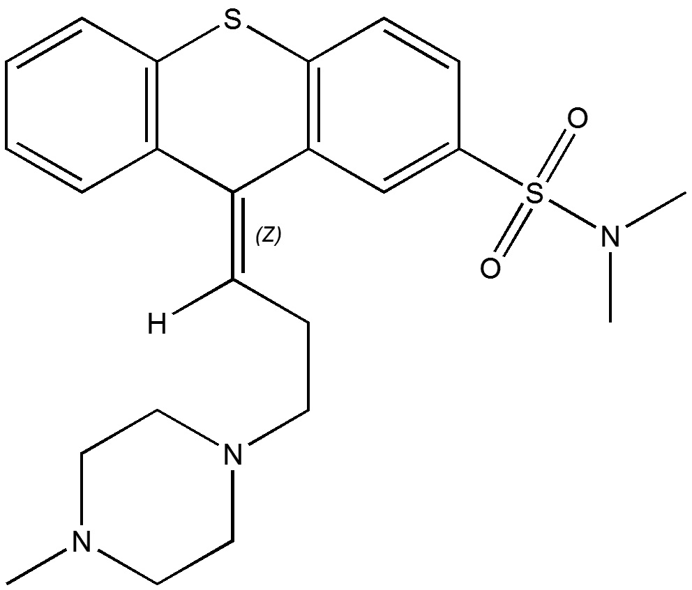
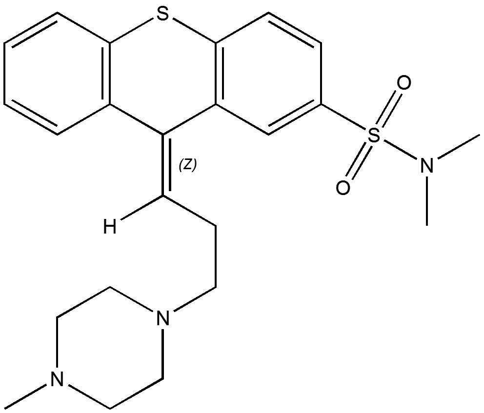
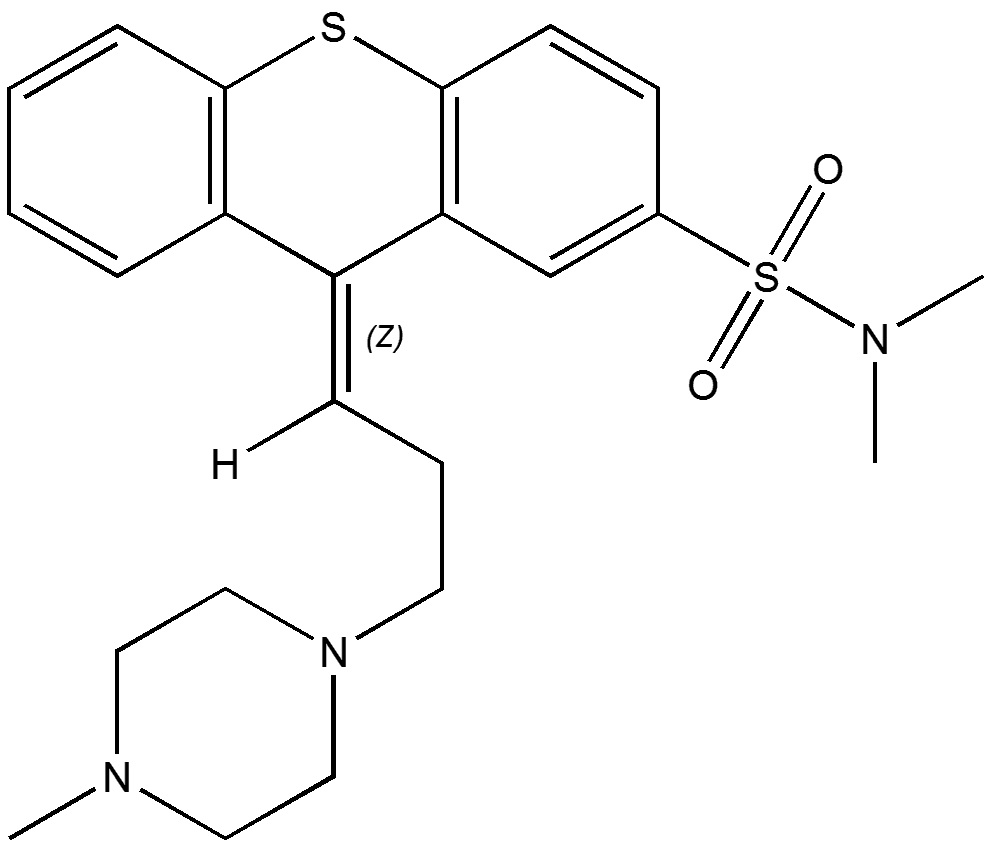
Thiothixene
estrutura química
Estabilidade de preparações farmacêuticas : Thiothixene
Ausência de dados
Mentions Légales