Останнє оновлення :
27/04/2026
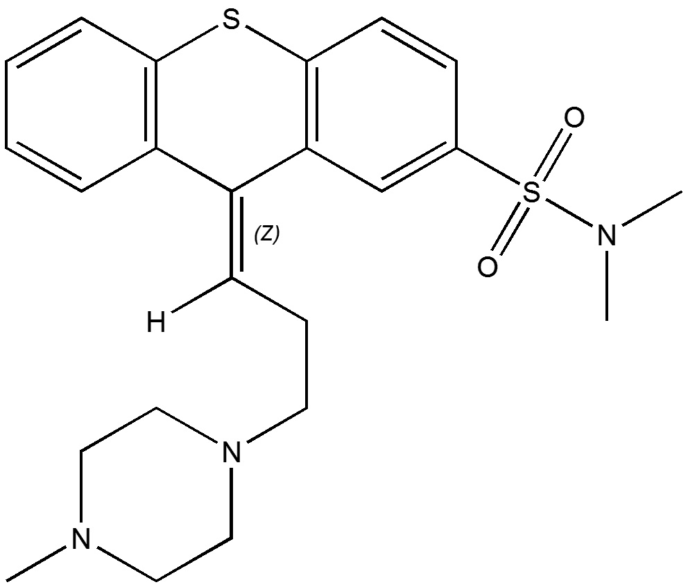
Нейролептик   Thiothixene  
Розчин для перорального застосування
Стабільність фармацевтичних препаратів Стійкість сумішей Фактори, що впливають на стабільність Сумісність Список літератури pdf
   Хімічна структура  

Розчин для перорального застосування

Фактори, що впливають на стабільність   Розчин для перорального застосування   Фактори, що впливають на стабільність : Thiothixene        
7 / 5 000 Résultats de traduction Немає даних

  Mentions Légales