Poslední aktualizace :
27/04/2026
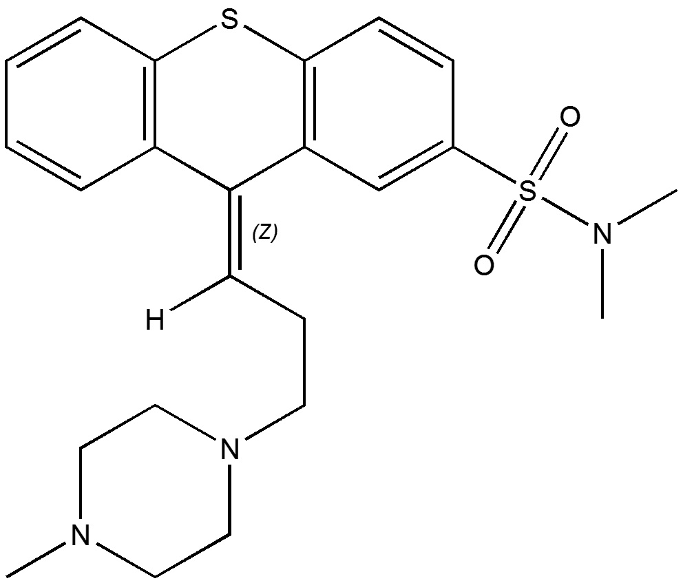
Neuroleptikum   Thiothixene  
Perorální roztok
Stabilita farmaceutických přípravků Stabilita směsí Faktory ovlivňující stabilitu Kompatibilita Odkazy pdf
   Chemický vzorec  

Perorální roztok
Stabilita farmaceutických přípravků   Perorální roztok   Stabilita farmaceutických přípravků : Thiothixene     
žádná data

  Mentions Légales