Ultimele actualizari :
21/01/2026
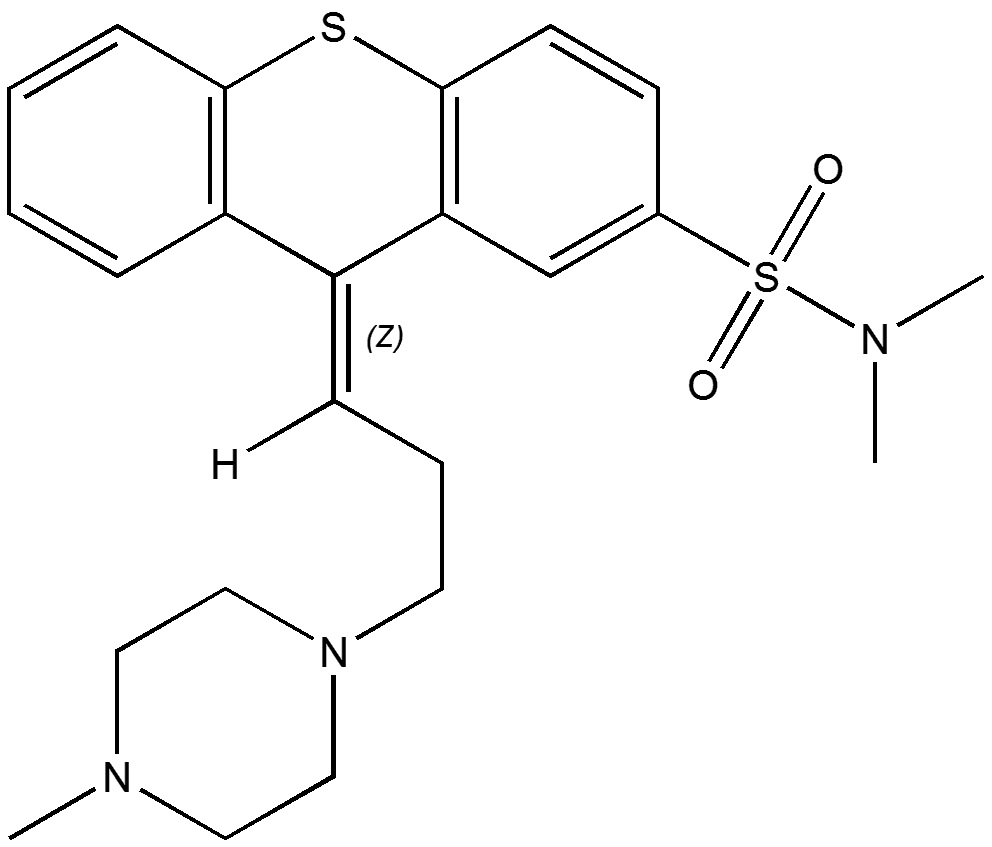
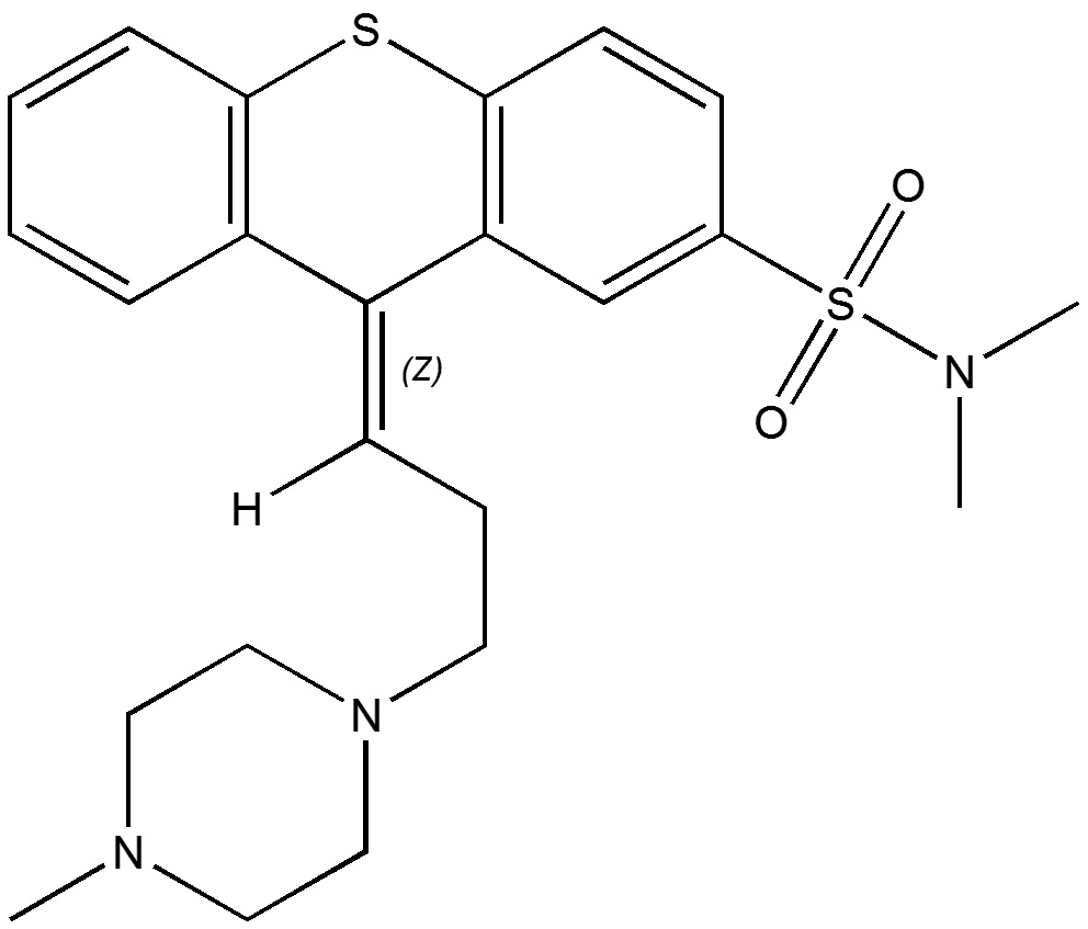
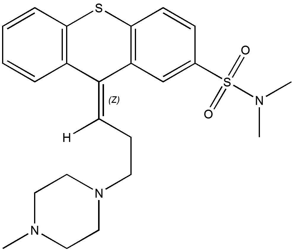
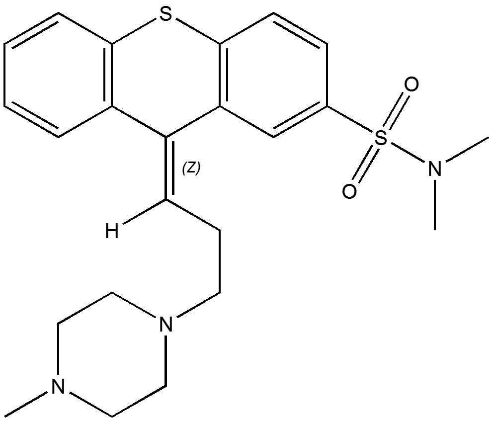
Neuroleptic   Thiothixene  
Soluţie orală
Stabilitatea preparatelor farmaceutice Stabilitatea in amestec Factorii care influenteaza stabilitatea Compatibilitate Bibliografie pdf
   Formula chimica  

Soluţie orală
Stabilitatea preparatelor farmaceutice   Soluţie orală   Stabilitatea preparatelor farmaceutice : Thiothixene     
Absenta de date

  Mentions Légales