Posledná aktualizácia :
03/03/2026
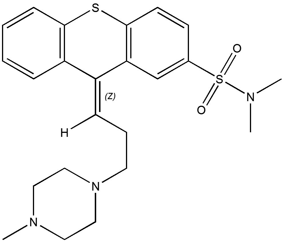
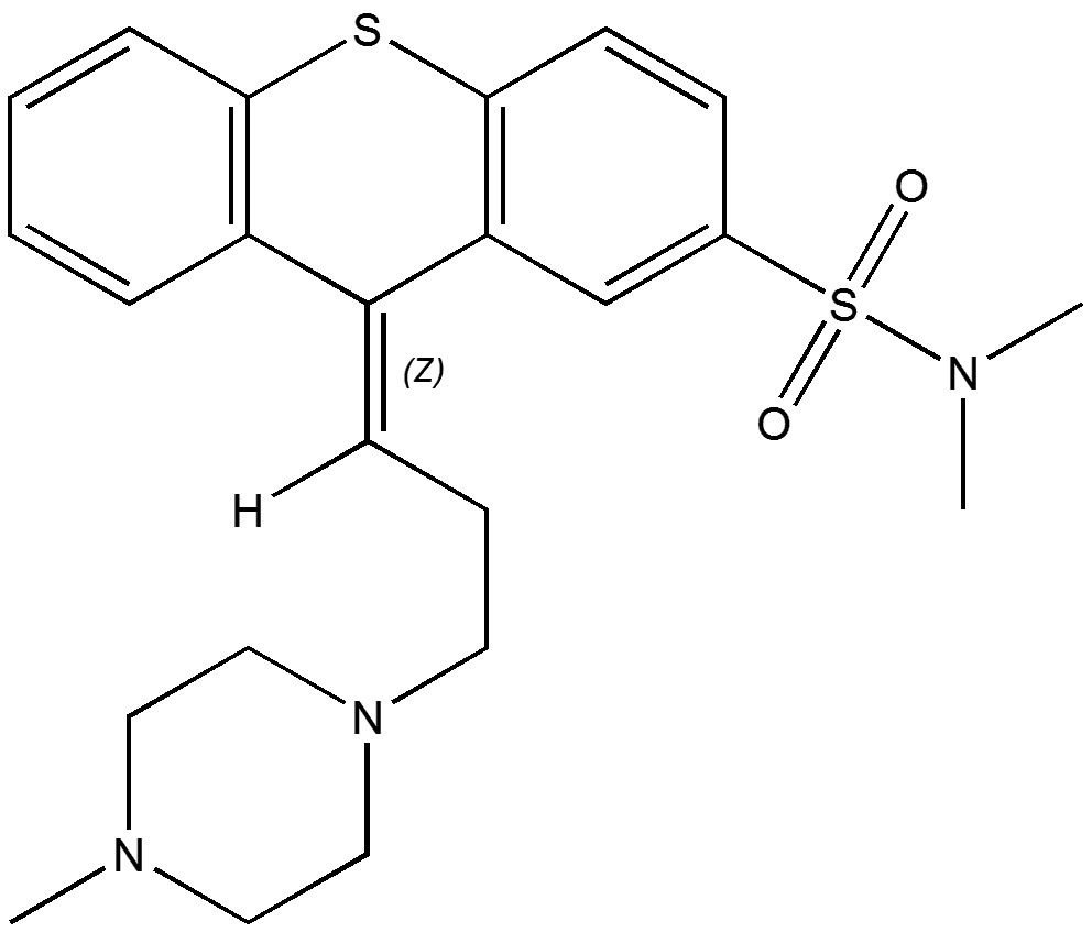
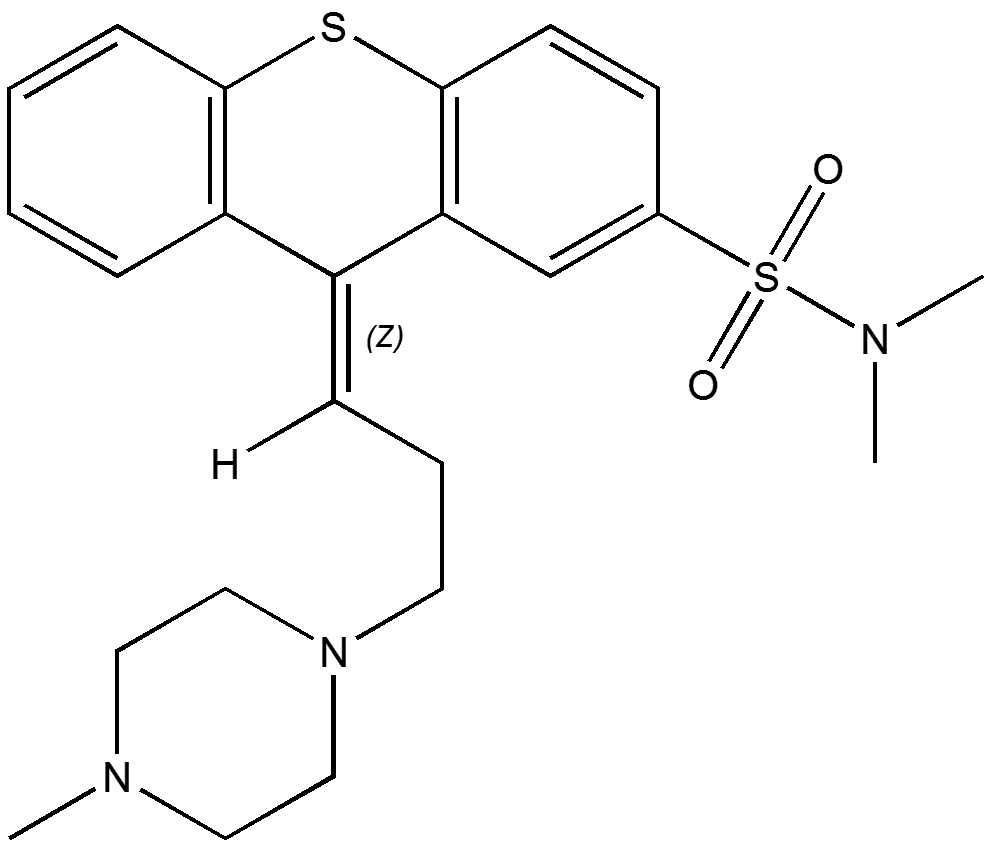
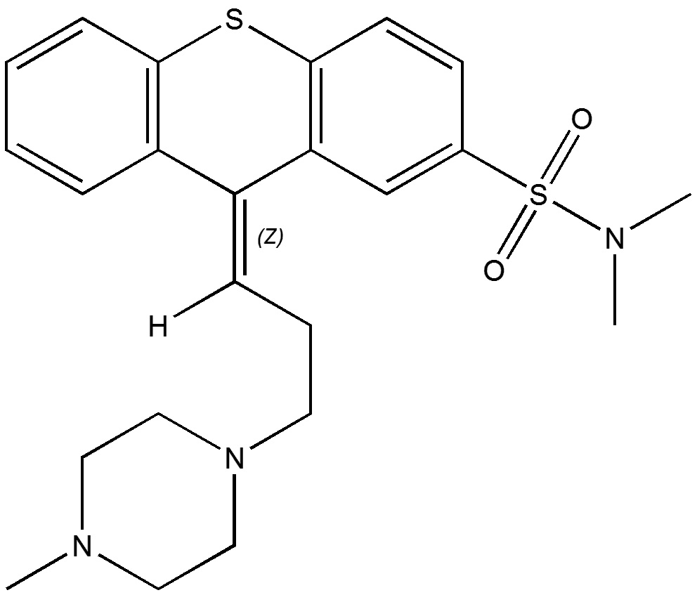
neuroleptikum   Thiothixene  
Perorálny roztok
Stabilita farmaceutických prípravkov Stabilita v zmesiach Faktory ovplyvňujúce stabilitu Kompatibility Odkazy na literatúru PDF
   Chemický vzorec  

Perorálny roztok
Odkazy na literatúru   Perorálny roztok   Odkazy na literatúru : Thiothixene  
Typ Publikácia
2630 Časopis Raleigh F.
Incompatibilities with orally administered liquid neuroleptic medication combinations.
Hosp Pharm 1981 ; 16: 486-487.

  Mentions Légales