آخر تحديث :
27/04/2026
أدوية الاعصاب    Thiothixene  
عن طريق الفم
استقرار المستحضرات الصيدلانية استقرار مخاليط العوامل التي تؤثر على الاستقرار التوافق مراجع pdf
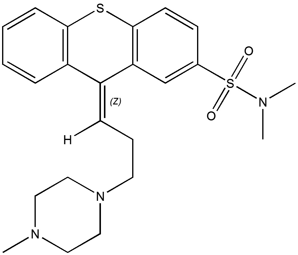
   التركيب الكيميائي  

عن طريق الفم
استقرار المستحضرات الصيدلانية   عن طريق الفم     استقرار المستحضرات الصيدلانية : Thiothixene     
لا توجد بيانات

  Mentions Légales