Poslední aktualizace :
27/04/2026
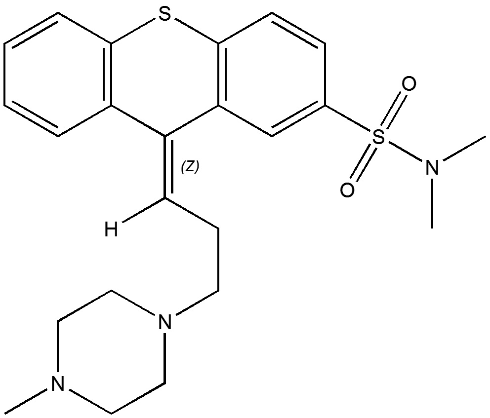
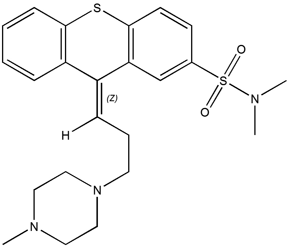
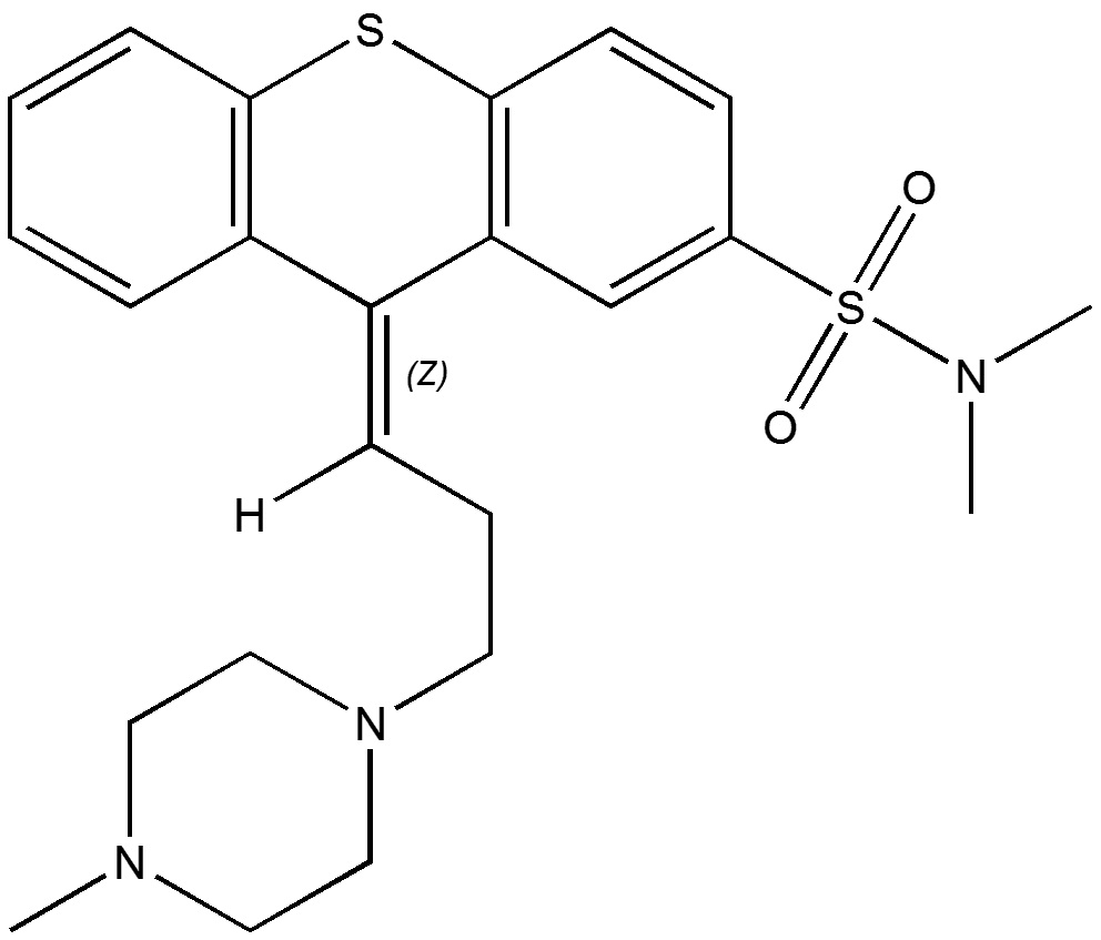
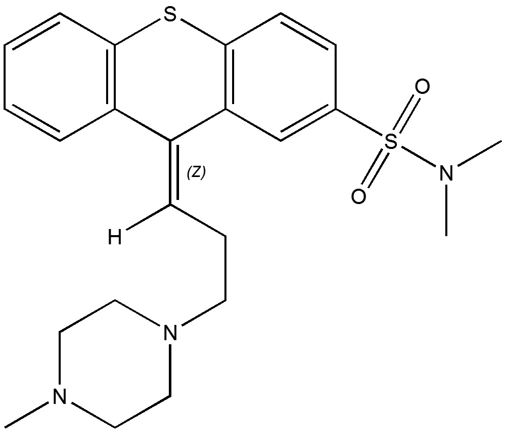
Neuroleptikum   Thiothixene  
Perorální roztok
Stabilita farmaceutických přípravků Stabilita směsí Faktory ovlivňující stabilitu Kompatibilita Odkazy pdf
   Chemický vzorec  

Perorální roztok
Odkazy   Perorální roztok   Odkazy : Thiothixene  
typ uveřejnění
2630 noviny Raleigh F.
Incompatibilities with orally administered liquid neuroleptic medication combinations.
Hosp Pharm 1981 ; 16: 486-487.

  Mentions Légales