最新更新 :
27/04/2026
Infostab
薬剤一覧
まとめ一覧
互換性の検索
Yサイト対応表
引用文献
研究チーム
valistab
ポスター
接続
スポンサー
作成者
ユーザーガイド
ニュースレター
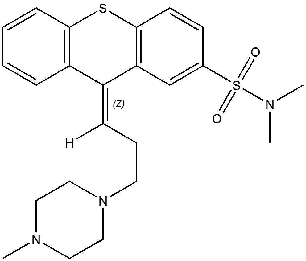
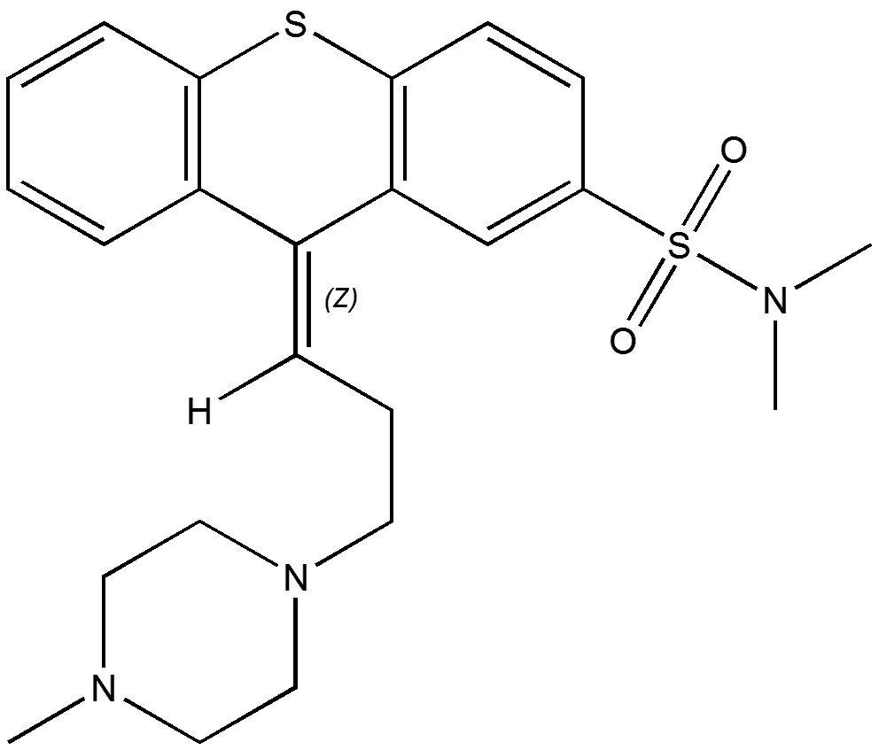
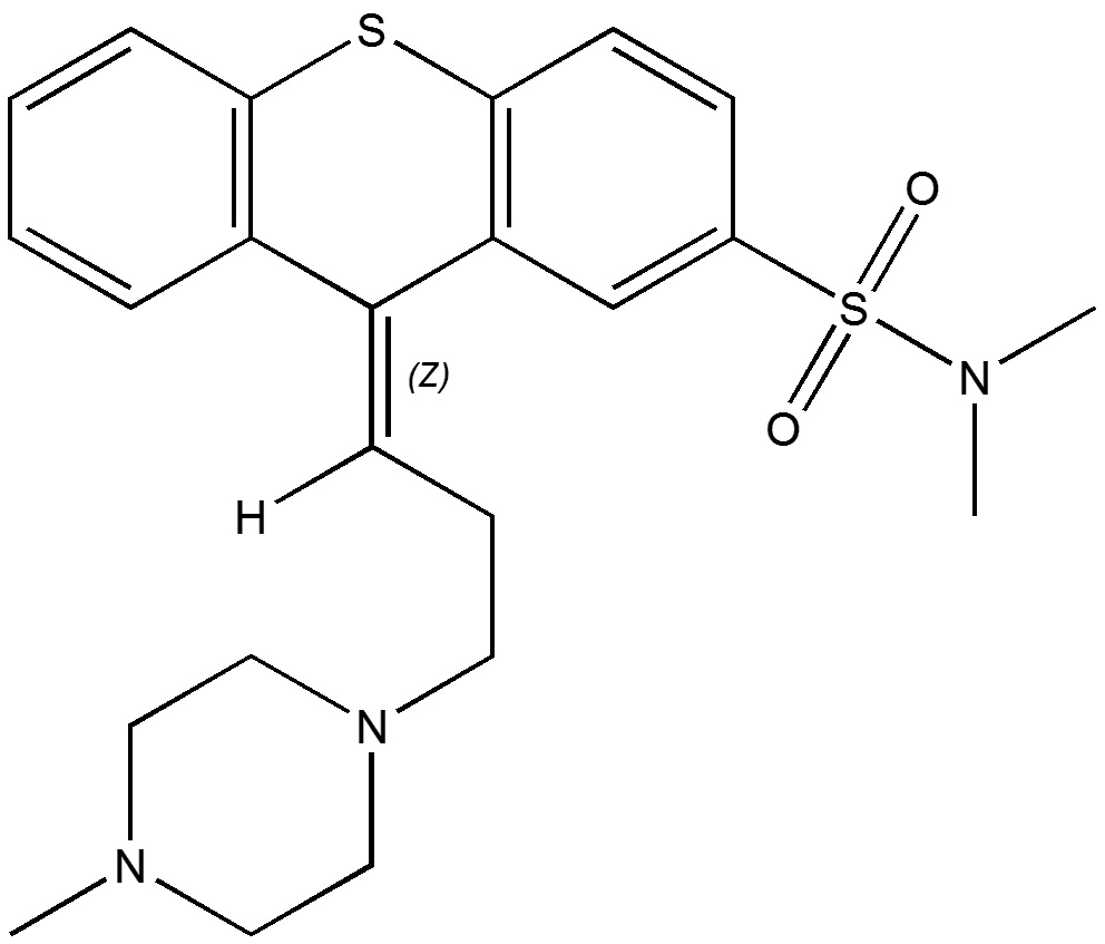
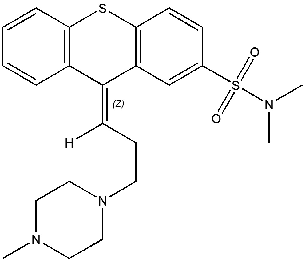
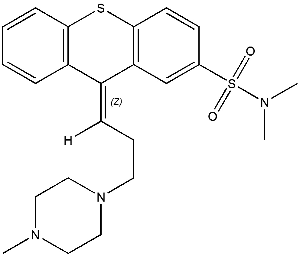
Thiothixene
化学構造
引用文献 : Thiothixene
形式
出版物
2630
雑誌
Raleigh F.
Incompatibilities with orally administered liquid neuroleptic medication combinations.
Hosp Pharm 1981 ; 16: 486-487.
Mentions Légales