Last update :
27/04/2026
Neuroleptic   Thiothixene  
Oral solution
Stability of pharmaceutical preparations Stability of mixtures Factors which affect stability Compatibility References pdf
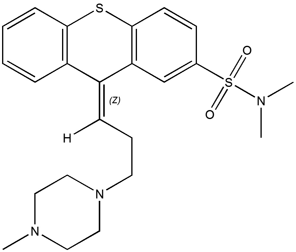
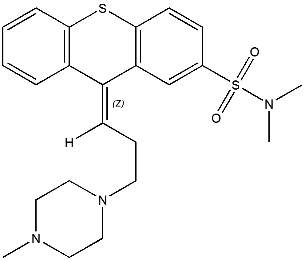
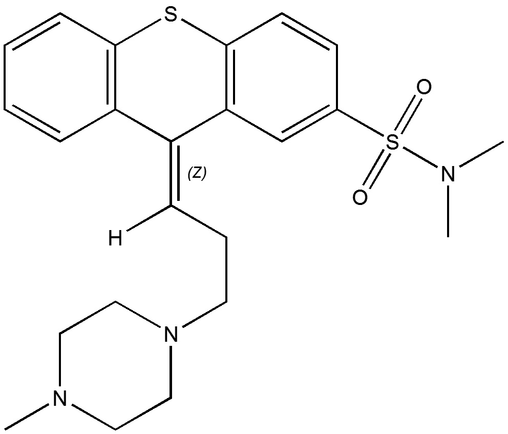
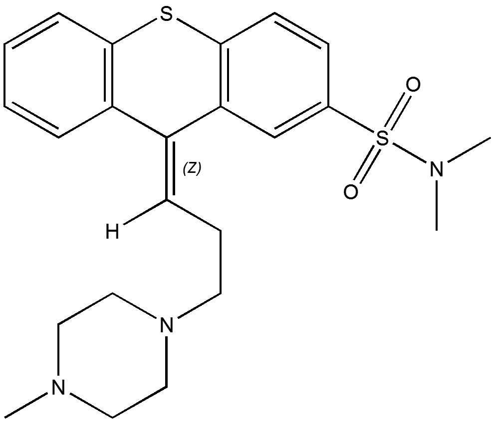
   Chemical structure  

Oral solution
References   Oral solution   References : Thiothixene  
Type Publication
2630 Journal Raleigh F.
Incompatibilities with orally administered liquid neuroleptic medication combinations.
Hosp Pharm 1981 ; 16: 486-487.

  Mentions Légales