Ultimele actualizari :
27/04/2026
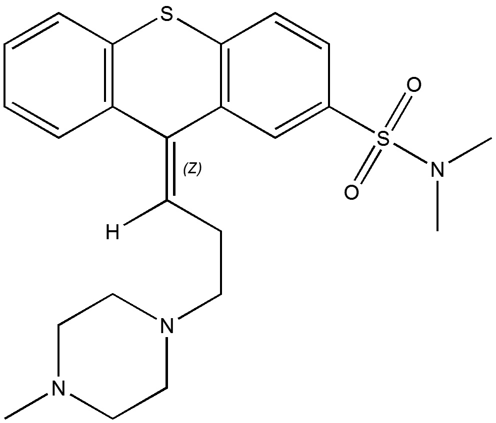
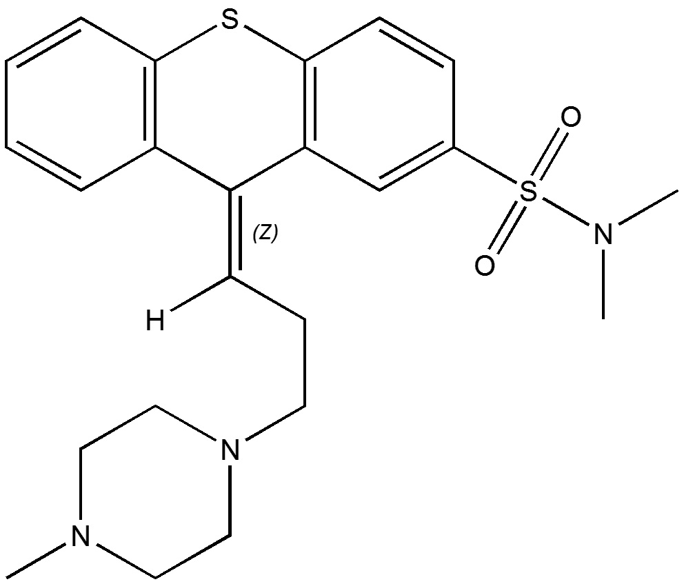
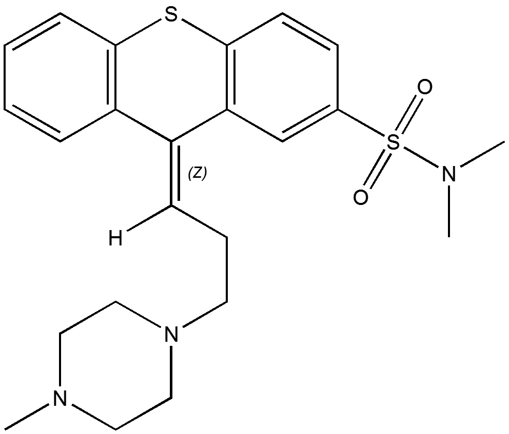
Neuroleptic   Thiothixene  
Soluţie orală
Stabilitatea preparatelor farmaceutice Stabilitatea in amestec Factorii care influenteaza stabilitatea Compatibilitate Bibliografie pdf
   Formula chimica  

Soluţie orală
Bibliografie   Soluţie orală   Bibliografie : Thiothixene  
tip publicare
2630 ziar Raleigh F.
Incompatibilities with orally administered liquid neuroleptic medication combinations.
Hosp Pharm 1981 ; 16: 486-487.

  Mentions Légales