Ultimele actualizari :
27/04/2026
Beta-blocant   Carvedilol  
Soluţie orală
Stabilitatea preparatelor farmaceutice Stabilitatea in amestec Factorii care influenteaza stabilitatea Compatibilitate Bibliografie pdf
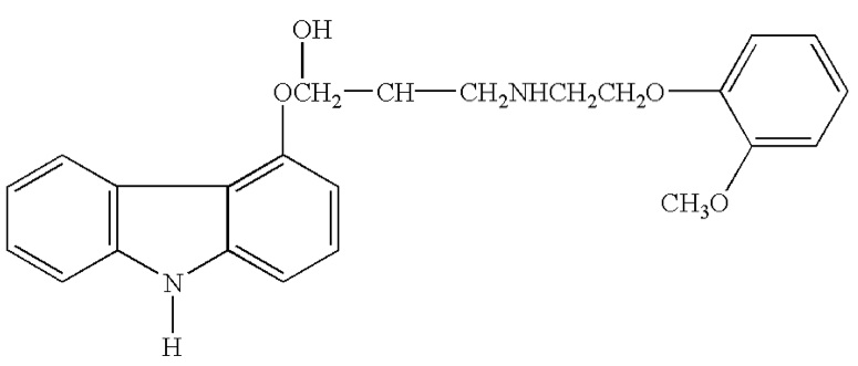
   Formula chimica  

Soluţie orală
Compatibilitate   Soluţie orală   Compatibilitate : Carvedilol              
Absenta de date

  Mentions Légales