Poslední aktualizace :
27/01/2026
beta-blokátor   Carvedilol  
Perorální roztok
Stabilita farmaceutických přípravků Stabilita směsí Faktory ovlivňující stabilitu Kompatibilita Odkazy pdf
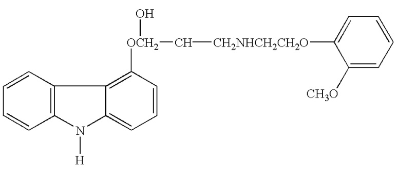
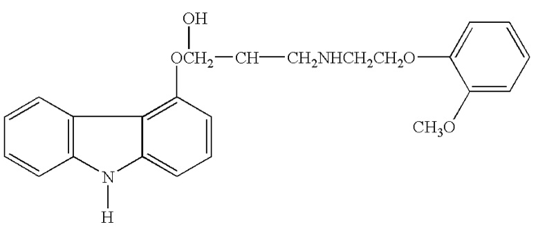
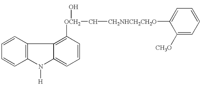
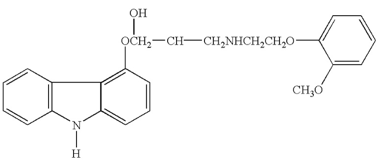
   Chemický vzorec  

Perorální roztok
Kompatibilita   Perorální roztok   Kompatibilita : Carvedilol              
žádná data

  Mentions Légales