Ultimo aggiornamento :
27/01/2026
Beta-bloccante   Carvedilol  
Soluzione orale
Stabilità dei preparati farmaceutici Stabilità in miscela Fattori che influenzano la stabilità Compatibilità Bibliografia pdf
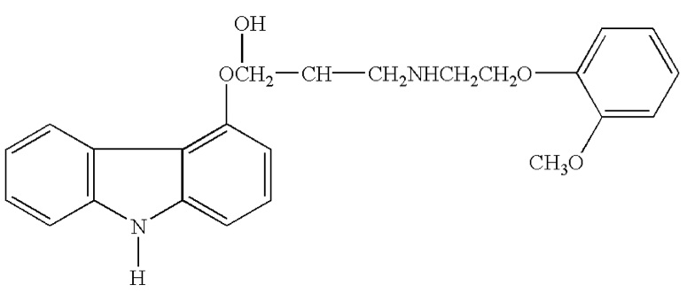
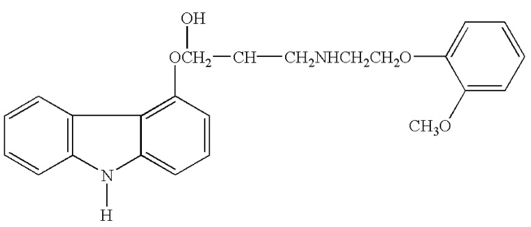
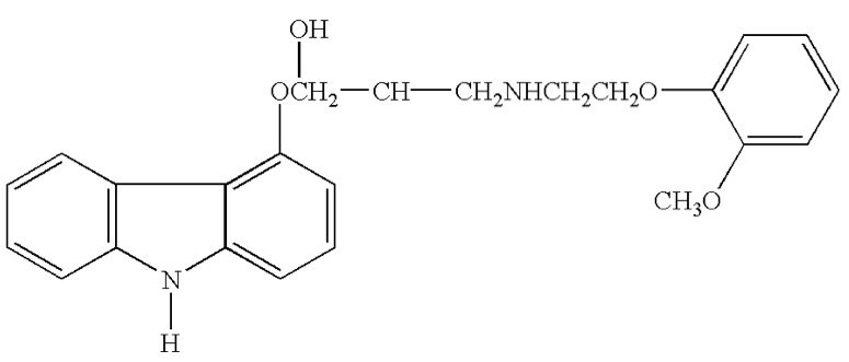
   Struttura chimica  

Soluzione orale
Compatibilità   Soluzione orale   Compatibilità : Carvedilol              
Assenza di dati

  Mentions Légales