Pēdējā atjaunošana :
27/04/2026
Beta adrenoblokators   Carvedilol  
Orāls šķīdums
Stabilitāte farmaceitisko preparātu Maisījuma stabilitāte Stabilitāti ietekmējoši faktori Saderība Literatūras saraksts pdf
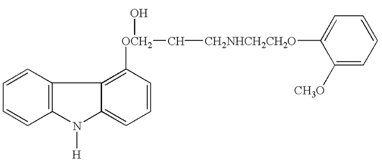
   Ķīmiskā uzbūve   

Orāls šķīdums
Saderība   Orāls šķīdums   Saderība : Carvedilol              
Nav datu

  Mentions Légales