Seneste opdatering :
27/04/2026
Beta-blokkerende   Carvedilol  
Oral opløsning
Stabilitet af farmaceutiske tilberedninger Stabilitet i blandinger Faktorer der påvirker stabiliteten Kompatibilitet Bibliografi pdf
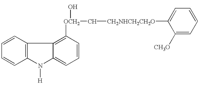
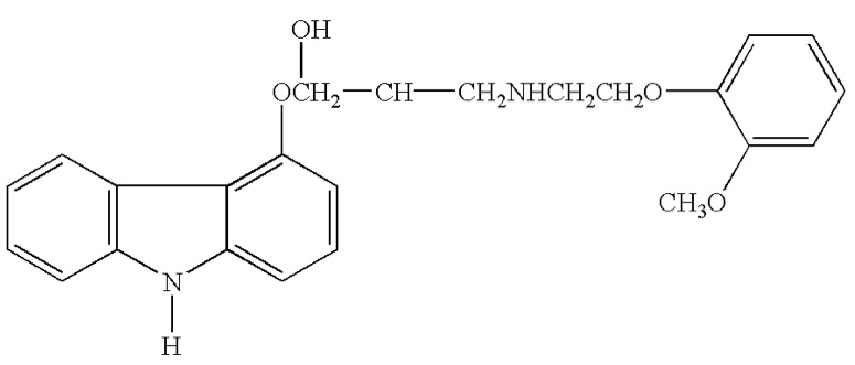
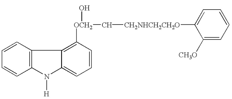
   Kemisk struktur  

Oral opløsning
Kompatibilitet   Oral opløsning   Kompatibilitet : Carvedilol              
Ingen data

  Mentions Légales