viimane versioon :
27/01/2026
beetablokaator   Carvedilol  
suukaudne lahus
Stabiilsust ravimpreparaadid Stabiilsust mõjutavad tegurid stabiilsust mõjutavad faktorid Sobimatus Viited pdf
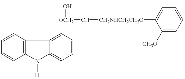
   keemiline struktuur  

suukaudne lahus
Sobimatus   suukaudne lahus   Sobimatus : Carvedilol              
andmed puuduvad

  Mentions Légales