Last update :
27/01/2026
Beta-blocker   Carvedilol  
Oral solution
Stability of pharmaceutical preparations Stability of mixtures Factors which affect stability Compatibility References pdf
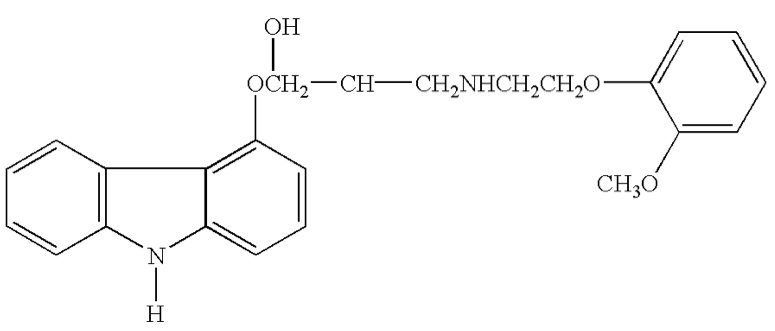
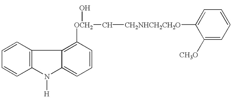
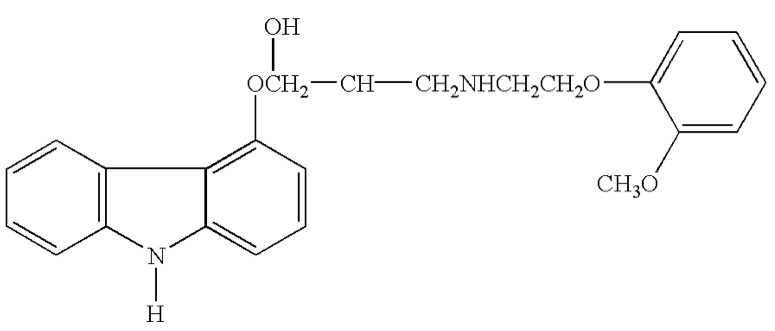
   Chemical structure  

Oral solution
Compatibility   Oral solution   Compatibility : Carvedilol              
No data

  Mentions Légales