Utolsó frissítés :
27/01/2026
Béta-blokkoló   Carvedilol  
belsőleges oldat
Stabilitása gyógyszerészeti készítmények A keverékek stabilitása Stabilitást befolyásoló tényezők Kompatibilitás Irodalom pdf
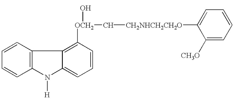
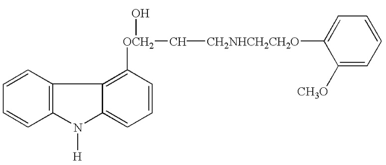
   Kémiai szerkezet   

belsőleges oldat
Kompatibilitás   belsőleges oldat   Kompatibilitás : Carvedilol              
Hiányzó adat

  Mentions Légales