Ultimele actualizari :
27/01/2026
Citostatic   Cabazitaxel  
Injectabil
Stabilitatea in solutie Stabilitatea in amestec Factorii care influenteaza stabilitatea Compatibilitate Microunde Bibliografie pdf
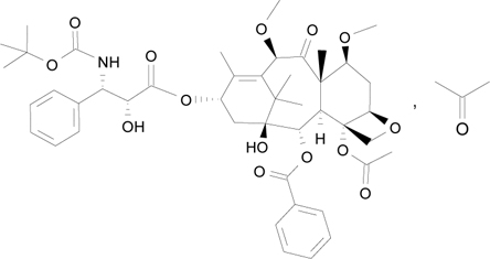
   Formula chimica  

Denumirea comerciala   Denumirea comerciala     

Trade names are indicative and excipients composition can be different depending on the country and manufacturers

Cabazil Argentina
Cabazitaxel Danemarca, Finlanda, Germania, Spania
Cecalter Argentina
Jevtana Argentina, Australia, Belgia, Brazilia, Canada, Chilli, Columbia, Danemarca, Ecuador, Elvetia, Finlanda, Franta, Germania, Islanda, Italia, Malaezia, Marea Britanie, Mexic, Norvegia, Peru, Romania, Slovenia, Spania, SUA, Turcia
Proazitax Brazilia
Xatiza Chilli
Zitat Argentina
Stabilitatea in solutie   Injectabil   Stabilitatea in solutie : Cabazitaxel     
Continut Solvent Concentratie Temperatura Conservare Durata stabilității Bibiografie
sticla fara 10 mg/ml 4°C Ferit de lumina
28 Ziua
3804
Nivel de evidență A

sticla specific de solvent 10 mg/ml -20°C Neprecizat
49 Ziua
4800
Nivel de evidență A

fiole parțial utilizate fara 20 mg/ml 25°C Ferit de lumina
28 Ziua
4761
Nivel de evidență A

polietilen clorura de sodiu 0,9% 0,1 >>0,26 mg/ml 25°C Ferit de lumina
28 Ziua
4761
Nivel de evidență A

polietilen Glucoza 5% 0,1 >>0,26 mg/ml 25°C Ferit de lumina
28 Ziua
4761
Nivel de evidență A

polipropilen clorura de sodiu 0,9% 0,1 >>0,26 mg/ml 2-8°C Ferit de lumina
28 Ziua
4761
Nivel de evidență A

polipropilen Glucoza 5% 0,1 >>0,26 mg/ml 2-8°C Ferit de lumina
28 Ziua
4761
Nivel de evidență A

poliolefine clorura de sodiu 0,9% 0,1 mg/ml -20°C Neprecizat
49 Ziua
4800
Nivel de evidență A

poliolefine clorura de sodiu 0,9% 0,1 mg/ml 25°C Neprecizat
21 Ziua
4800
Nivel de evidență A

poliolefine clorura de sodiu 0,9% 0,1 mg/ml 4°C Neprecizat
21 Ziua
4800
Nivel de evidență A

poliolefine clorura de sodiu 0,9% 0,1 >>0,26 mg/ml 25°C Ferit de lumina
28 Ziua
4761
Nivel de evidență A

poliolefine clorura de sodiu 0,9% 0,10 >> 0,26 mg/ml 2-8°C Neprecizat
48 Ora
3237
Documentele de stabilitate ale producătorului

poliolefine clorura de sodiu 0,9% 0,10 >> 0,26 mg/ml 25°C Neprecizat
8 Ora
3237
Documentele de stabilitate ale producătorului

poliolefine clorura de sodiu 0,9% 0,15 mg/ml 25°C Ferit de lumina
28 Ziua
3804
Nivel de evidență A

poliolefine clorura de sodiu 0,9% 0,15 mg/ml 4°C Ferit de lumina
28 Ziua
3804
Nivel de evidență A

poliolefine clorura de sodiu 0,9% 0,26 mg/ml -20°C Neprecizat
49 Ziua
4800
Nivel de evidență A

poliolefine clorura de sodiu 0,9% 0,26 mg/ml 25°C Neprecizat
21 Ziua
4800
Nivel de evidență A

poliolefine clorura de sodiu 0,9% 0,26 mg/ml 4°C Neprecizat
21 Ziua
4800
Nivel de evidență A

poliolefine Glucoza 5% 0,1 mg/ml -20°C Neprecizat
49 Ziua
4800
Nivel de evidență A

poliolefine Glucoza 5% 0,1 mg/ml 25°C Neprecizat
21 Ziua
4800
Nivel de evidență A

poliolefine Glucoza 5% 0,1 mg/ml 4°C Neprecizat
21 Ziua
4800
Nivel de evidență A

poliolefine Glucoza 5% 0,1 >>0,26 mg/ml 25°C Ferit de lumina
28 Ziua
4761
Nivel de evidență A

poliolefine Glucoza 5% 0,10 >> 0,26 mg/ml 2-8°C Neprecizat
48 Ora
3237
Documentele de stabilitate ale producătorului

poliolefine Glucoza 5% 0,10 >> 0,26 mg/ml 25°C Neprecizat
8 Ora
3237
Documentele de stabilitate ale producătorului

poliolefine Glucoza 5% 0,26 mg/ml -20°C Neprecizat
49 Ziua
4800
Nivel de evidență A

poliolefine Glucoza 5% 0,26 mg/ml 25°C Neprecizat
21 Ziua
4800
Nivel de evidență A

poliolefine Glucoza 5% 0,26 mg/ml 4°C Neprecizat
21 Ziua
4800
Nivel de evidență A


  Mentions Légales