Última actualização :
27/01/2026
droga contra o câncer   Cabazitaxel  
injetável
Estabilidade em soluções simples Estabilidade em misturas Factores que afectam a sua estabilidade Compatibilidade Método de administração Bibliografía pdf
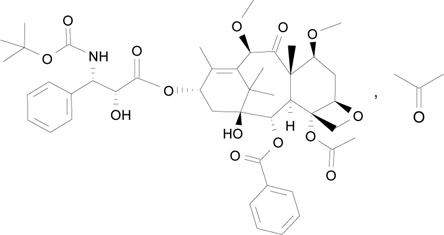
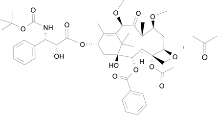
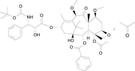
   estrutura química  

Nomes comerciais nos diversos países   Nomes comerciais nos diversos países     

OS NOMES COMERCIAIS SÃO INDICATIVOS E OS EXCIPIENTES DA FORMULAÇÃO PODEM SER DIFERENTES CONFORME O PAÍS E FABRICANTE.

Cabazil Argentina
Cabazitaxel Alemanha, Dinamarca, Espanha, Finlandia
Cecalter Argentina
Jevtana Alemanha, Argentina, Australia, Bélgica, Brasil, Canadá, Chilli, Colômbia, Dinamarca, Equator, Eslovenia, Espanha, Estados Unidos de América, Finlandia, França, Gran-bretanha, Islandia, Itália, Malásia, México, Noruega, Peru, Romènia, Suicia, Turquia
Proazitax Brasil
Xatiza Chilli
Zitat Argentina
Estabilidade em soluções simples   injetável   Estabilidade em soluções simples : Cabazitaxel     
Embalagem Solvente concentração temperatura conservação Duração da estabilidade Bibliografia
vidro nenhum 10 mg/ml 4°C ao abrigo da luz
28 dia
3804
Nível de evidência A

vidro solvente específico 10 mg/ml -20°C no especificado
49 dia
4800
Nível de evidência A

frascos parcialmente usados nenhum 20 mg/ml 25°C ao abrigo da luz
28 dia
4761
Nível de evidência A

Polietileno cloreto de sódio 0,9% 0,1 >>0,26 mg/ml 25°C ao abrigo da luz
28 dia
4761
Nível de evidência A

Polietileno Glucose 5% 0,1 >>0,26 mg/ml 25°C ao abrigo da luz
28 dia
4761
Nível de evidência A

Polipropileno cloreto de sódio 0,9% 0,1 >>0,26 mg/ml 2-8°C ao abrigo da luz
28 dia
4761
Nível de evidência A

Polipropileno Glucose 5% 0,1 >>0,26 mg/ml 2-8°C ao abrigo da luz
28 dia
4761
Nível de evidência A

Poliolefina cloreto de sódio 0,9% 0,1 mg/ml -20°C no especificado
49 dia
4800
Nível de evidência A

Poliolefina cloreto de sódio 0,9% 0,1 mg/ml 25°C no especificado
21 dia
4800
Nível de evidência A

Poliolefina cloreto de sódio 0,9% 0,1 mg/ml 4°C no especificado
21 dia
4800
Nível de evidência A

Poliolefina cloreto de sódio 0,9% 0,1 >>0,26 mg/ml 25°C ao abrigo da luz
28 dia
4761
Nível de evidência A

Poliolefina cloreto de sódio 0,9% 0,10 >> 0,26 mg/ml 2-8°C no especificado
48 hora
3237
Dados estabilidade do fabricante

Poliolefina cloreto de sódio 0,9% 0,10 >> 0,26 mg/ml 25°C no especificado
8 hora
3237
Dados estabilidade do fabricante

Poliolefina cloreto de sódio 0,9% 0,15 mg/ml 25°C ao abrigo da luz
28 dia
3804
Nível de evidência A

Poliolefina cloreto de sódio 0,9% 0,15 mg/ml 4°C ao abrigo da luz
28 dia
3804
Nível de evidência A

Poliolefina cloreto de sódio 0,9% 0,26 mg/ml -20°C no especificado
49 dia
4800
Nível de evidência A

Poliolefina cloreto de sódio 0,9% 0,26 mg/ml 25°C no especificado
21 dia
4800
Nível de evidência A

Poliolefina cloreto de sódio 0,9% 0,26 mg/ml 4°C no especificado
21 dia
4800
Nível de evidência A

Poliolefina Glucose 5% 0,1 mg/ml -20°C no especificado
49 dia
4800
Nível de evidência A

Poliolefina Glucose 5% 0,1 mg/ml 25°C no especificado
21 dia
4800
Nível de evidência A

Poliolefina Glucose 5% 0,1 mg/ml 4°C no especificado
21 dia
4800
Nível de evidência A

Poliolefina Glucose 5% 0,1 >>0,26 mg/ml 25°C ao abrigo da luz
28 dia
4761
Nível de evidência A

Poliolefina Glucose 5% 0,10 >> 0,26 mg/ml 2-8°C no especificado
48 hora
3237
Dados estabilidade do fabricante

Poliolefina Glucose 5% 0,10 >> 0,26 mg/ml 25°C no especificado
8 hora
3237
Dados estabilidade do fabricante

Poliolefina Glucose 5% 0,26 mg/ml -20°C no especificado
49 dia
4800
Nível de evidência A

Poliolefina Glucose 5% 0,26 mg/ml 25°C no especificado
21 dia
4800
Nível de evidência A

Poliolefina Glucose 5% 0,26 mg/ml 4°C no especificado
21 dia
4800
Nível de evidência A


  Mentions Légales