Poslední aktualizace :
27/01/2026
rakovina drog   Cabazitaxel  
injekce
Stabilita roztoků Stabilita směsí Faktory ovlivňující stabilitu Kompatibilita Způsoby aplikace Odkazy pdf
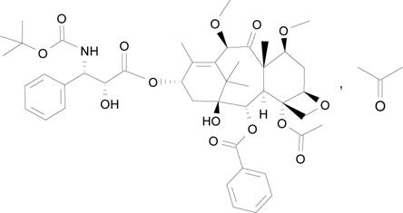
   Chemický vzorec  

Obchodní název   Obchodní název     

Trade names are indicative and excipients composition can be different depending on the country and manufacturers

Cabazil Argentina
Cabazitaxel äpanÏlsko, Dánsko, Finsko, NÏmecko
Cecalter Argentina
Jevtana äpanÏlsko, Argentina, Austrálie, Belgie, BrazÌlie, Chile, Dánsko, Ekvádor, Finsko, Francie, Island, Itálie, Kanada, Kolumbie, Malajsie, Mexiko, NÏmecko, Norsko, Peru, Rumunsko, Slovinsko, Švýcarsko, Turecko, USA, Velká Británie
Proazitax BrazÌlie
Xatiza Chile
Zitat Argentina
Stabilita roztoků   injekce   Stabilita roztoků : Cabazitaxel     
Obal RozpouötÏdlo Koncentrace Teplota Uchovávání Trvání stability Odkazy
Sklo Žádné 10 mg/ml 4°C Chráněno před světlem
28 Den
3804
Úroveň zkoušky A

Sklo Zvláštní rozpouštědla 10 mg/ml -20°C Nespecifikováno
49 Den
4800
Úroveň zkoušky A

částečně použité lahvičky Žádné 20 mg/ml 25°C Chráněno před světlem
28 Den
4761
Úroveň zkoušky A

Polyethylen Chlorid sodný 0,9% 0,1 >>0,26 mg/ml 25°C Chráněno před světlem
28 Den
4761
Úroveň zkoušky A

Polyethylen GlukÛza 5% 0,1 >>0,26 mg/ml 25°C Chráněno před světlem
28 Den
4761
Úroveň zkoušky A

polypropylen Chlorid sodný 0,9% 0,1 >>0,26 mg/ml 2-8°C Chráněno před světlem
28 Den
4761
Úroveň zkoušky A

polypropylen GlukÛza 5% 0,1 >>0,26 mg/ml 2-8°C Chráněno před světlem
28 Den
4761
Úroveň zkoušky A

Polyoleofin Chlorid sodný 0,9% 0,1 mg/ml -20°C Nespecifikováno
49 Den
4800
Úroveň zkoušky A

Polyoleofin Chlorid sodný 0,9% 0,1 mg/ml 25°C Nespecifikováno
21 Den
4800
Úroveň zkoušky A

Polyoleofin Chlorid sodný 0,9% 0,1 mg/ml 4°C Nespecifikováno
21 Den
4800
Úroveň zkoušky A

Polyoleofin Chlorid sodný 0,9% 0,1 >>0,26 mg/ml 25°C Chráněno před světlem
28 Den
4761
Úroveň zkoušky A

Polyoleofin Chlorid sodný 0,9% 0,10 >> 0,26 mg/ml 2-8°C Nespecifikováno
48 Hodina
3237
Údaje o stabilitě od výrobce

Polyoleofin Chlorid sodný 0,9% 0,10 >> 0,26 mg/ml 25°C Nespecifikováno
8 Hodina
3237
Údaje o stabilitě od výrobce

Polyoleofin Chlorid sodný 0,9% 0,15 mg/ml 25°C Chráněno před světlem
28 Den
3804
Úroveň zkoušky A

Polyoleofin Chlorid sodný 0,9% 0,15 mg/ml 4°C Chráněno před světlem
28 Den
3804
Úroveň zkoušky A

Polyoleofin Chlorid sodný 0,9% 0,26 mg/ml -20°C Nespecifikováno
49 Den
4800
Úroveň zkoušky A

Polyoleofin Chlorid sodný 0,9% 0,26 mg/ml 25°C Nespecifikováno
21 Den
4800
Úroveň zkoušky A

Polyoleofin Chlorid sodný 0,9% 0,26 mg/ml 4°C Nespecifikováno
21 Den
4800
Úroveň zkoušky A

Polyoleofin GlukÛza 5% 0,1 mg/ml -20°C Nespecifikováno
49 Den
4800
Úroveň zkoušky A

Polyoleofin GlukÛza 5% 0,1 mg/ml 25°C Nespecifikováno
21 Den
4800
Úroveň zkoušky A

Polyoleofin GlukÛza 5% 0,1 mg/ml 4°C Nespecifikováno
21 Den
4800
Úroveň zkoušky A

Polyoleofin GlukÛza 5% 0,1 >>0,26 mg/ml 25°C Chráněno před světlem
28 Den
4761
Úroveň zkoušky A

Polyoleofin GlukÛza 5% 0,10 >> 0,26 mg/ml 2-8°C Nespecifikováno
48 Hodina
3237
Údaje o stabilitě od výrobce

Polyoleofin GlukÛza 5% 0,10 >> 0,26 mg/ml 25°C Nespecifikováno
8 Hodina
3237
Údaje o stabilitě od výrobce

Polyoleofin GlukÛza 5% 0,26 mg/ml -20°C Nespecifikováno
49 Den
4800
Úroveň zkoušky A

Polyoleofin GlukÛza 5% 0,26 mg/ml 25°C Nespecifikováno
21 Den
4800
Úroveň zkoušky A

Polyoleofin GlukÛza 5% 0,26 mg/ml 4°C Nespecifikováno
21 Den
4800
Úroveň zkoušky A


  Mentions Légales