Zadnji put ažurirano :
27/01/2026
lijek protiv karcinoma   Cabazitaxel  
injekcija
Stabilizacija rješenja Stabilnost mješavine Stabilizacijski faktor Kompatibilnosti način davanja lijeka Bibliografija pdf
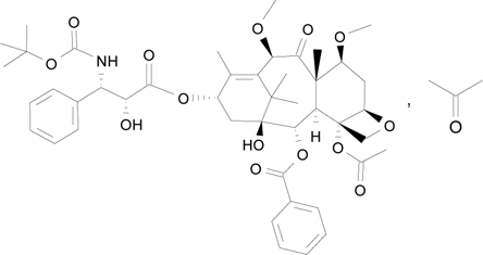
   Kemijska struktura  

Nekomercijalni   Nekomercijalni     

Zaštićeni nazivi su indikativni i sastav ekscipijensa može biti različit ovisno o državi i laboratorijima

Cabazil Argentina
Cabazitaxel Danska, Finska, Njemačka, Španjolska
Cecalter Argentina
Jevtana Argentina, Australija, Belgija, Brazil, Čile, Danska, Ekvador, Finska, Francuska, Island, Italija, Kanada, Kolumbija, Malezija, Meksiko, Njemačka, Norveška, Peru, Rumunjska, S A D, Slovenija, Španjolska, Švicarska, Turska, Velika Britanija
Proazitax Brazil
Xatiza Čile
Zitat Argentina
Stabilizacija rješenja   injekcija   Stabilizacija rješenja : Cabazitaxel     
Kontejner sredstvo za rastapanje koncentracija temperatura Konzerviranje Trajanje stabilnosti Bibliografija
čaša nijedan 10 mg/ml 4°C Zaštićeno od svjetlosti
28 dan
3804
Razina dokaza A

čaša Specifična otapala 10 mg/ml -20°C nespecifičan
49 dan
4800
Razina dokaza A

djelomično korištene boce nijedan 20 mg/ml 25°C Zaštićeno od svjetlosti
28 dan
4761
Razina dokaza A

polietilen natrijumkorid 0,9% 0,1 >>0,26 mg/ml 25°C Zaštićeno od svjetlosti
28 dan
4761
Razina dokaza A

polietilen glukoza 5% 0,1 >>0,26 mg/ml 25°C Zaštićeno od svjetlosti
28 dan
4761
Razina dokaza A

polipropilen natrijumkorid 0,9% 0,1 >>0,26 mg/ml 2-8°C Zaštićeno od svjetlosti
28 dan
4761
Razina dokaza A

polipropilen glukoza 5% 0,1 >>0,26 mg/ml 2-8°C Zaštićeno od svjetlosti
28 dan
4761
Razina dokaza A

poliolefin natrijumkorid 0,9% 0,1 mg/ml -20°C nespecifičan
49 dan
4800
Razina dokaza A

poliolefin natrijumkorid 0,9% 0,1 mg/ml 25°C nespecifičan
21 dan
4800
Razina dokaza A

poliolefin natrijumkorid 0,9% 0,1 mg/ml 4°C nespecifičan
21 dan
4800
Razina dokaza A

poliolefin natrijumkorid 0,9% 0,1 >>0,26 mg/ml 25°C Zaštićeno od svjetlosti
28 dan
4761
Razina dokaza A

poliolefin natrijumkorid 0,9% 0,10 >> 0,26 mg/ml 2-8°C nespecifičan
48 sat
3237
Podaci proizvođača o stabilnosti

poliolefin natrijumkorid 0,9% 0,10 >> 0,26 mg/ml 25°C nespecifičan
8 sat
3237
Podaci proizvođača o stabilnosti

poliolefin natrijumkorid 0,9% 0,15 mg/ml 25°C Zaštićeno od svjetlosti
28 dan
3804
Razina dokaza A

poliolefin natrijumkorid 0,9% 0,15 mg/ml 4°C Zaštićeno od svjetlosti
28 dan
3804
Razina dokaza A

poliolefin natrijumkorid 0,9% 0,26 mg/ml -20°C nespecifičan
49 dan
4800
Razina dokaza A

poliolefin natrijumkorid 0,9% 0,26 mg/ml 25°C nespecifičan
21 dan
4800
Razina dokaza A

poliolefin natrijumkorid 0,9% 0,26 mg/ml 4°C nespecifičan
21 dan
4800
Razina dokaza A

poliolefin glukoza 5% 0,1 mg/ml -20°C nespecifičan
49 dan
4800
Razina dokaza A

poliolefin glukoza 5% 0,1 mg/ml 25°C nespecifičan
21 dan
4800
Razina dokaza A

poliolefin glukoza 5% 0,1 mg/ml 4°C nespecifičan
21 dan
4800
Razina dokaza A

poliolefin glukoza 5% 0,1 >>0,26 mg/ml 25°C Zaštićeno od svjetlosti
28 dan
4761
Razina dokaza A

poliolefin glukoza 5% 0,10 >> 0,26 mg/ml 2-8°C nespecifičan
48 sat
3237
Podaci proizvođača o stabilnosti

poliolefin glukoza 5% 0,10 >> 0,26 mg/ml 25°C nespecifičan
8 sat
3237
Podaci proizvođača o stabilnosti

poliolefin glukoza 5% 0,26 mg/ml -20°C nespecifičan
49 dan
4800
Razina dokaza A

poliolefin glukoza 5% 0,26 mg/ml 25°C nespecifičan
21 dan
4800
Razina dokaza A

poliolefin glukoza 5% 0,26 mg/ml 4°C nespecifičan
21 dan
4800
Razina dokaza A


  Mentions Légales