Ostatnia aktualizacja :
27/01/2026
Lek cytostatyk   Cabazitaxel  
Injekcje
Trwałość roztworów Trwałość w mieszaninie Czynnik wpływający na trwałość Zgodność Sposób podania Bibliografia pdf
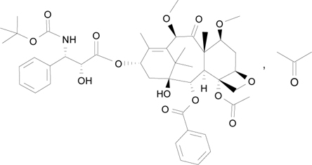
   Struktura chemiczna  

Nazwa handlowa   Nazwa handlowa     

Trade names are indicative and excipients composition can be different depending on the country and manufacturers

Cabazil Argentyna
Cabazitaxel Dania, Finlandia, Hiszpania, Niemcy
Cecalter Argentyna
Jevtana Argentyna, Australia, Belgia, Brazylia, Chile, Dania, Ekwador, Finlandia, Francja , Hiszpania, Islandia, Kanada, KolumbiaKolumbia, Malezja, Meksyk, Niemcy, Norwegia, Peru, Rumunia, Stany Zjednoczone Ameryki, Szwajcaria, Słowenia, Turcja, Wielka Brytania, Włochy
Proazitax Brazylia
Xatiza Chile
Zitat Argentyna
Trwałość roztworów   Injekcje   Trwałość roztworów : Cabazitaxel     
Pojemnik Rozpuszczalnik Stężenie Temperatura Przechowywanie Czas trwania stabilności Bibliografia
Szkło Żaden 10 mg/ml 4°C Chronić od światła
28 Dzień
3804
Poziom wiarygodności A

Szkło danego rozpuszczalnika 10 mg/ml -20°C Nie wyszczególniony
49 Dzień
4800
Poziom wiarygodności A

fiolki częściowo zużyte Żaden 20 mg/ml 25°C Chronić od światła
28 Dzień
4761
Poziom wiarygodności A

Polietylen Chlorek sodu 0,9% 0,1 >>0,26 mg/ml 25°C Chronić od światła
28 Dzień
4761
Poziom wiarygodności A

Polietylen Glukoza 5% 0,1 >>0,26 mg/ml 25°C Chronić od światła
28 Dzień
4761
Poziom wiarygodności A

Polipropylen Chlorek sodu 0,9% 0,1 >>0,26 mg/ml 2-8°C Chronić od światła
28 Dzień
4761
Poziom wiarygodności A

Polipropylen Glukoza 5% 0,1 >>0,26 mg/ml 2-8°C Chronić od światła
28 Dzień
4761
Poziom wiarygodności A

Poliolefina Chlorek sodu 0,9% 0,1 mg/ml -20°C Nie wyszczególniony
49 Dzień
4800
Poziom wiarygodności A

Poliolefina Chlorek sodu 0,9% 0,1 mg/ml 25°C Nie wyszczególniony
21 Dzień
4800
Poziom wiarygodności A

Poliolefina Chlorek sodu 0,9% 0,1 mg/ml 4°C Nie wyszczególniony
21 Dzień
4800
Poziom wiarygodności A

Poliolefina Chlorek sodu 0,9% 0,1 >>0,26 mg/ml 25°C Chronić od światła
28 Dzień
4761
Poziom wiarygodności A

Poliolefina Chlorek sodu 0,9% 0,10 >> 0,26 mg/ml 2-8°C Nie wyszczególniony
48 Godzina
3237
Dane stabilności producenta

Poliolefina Chlorek sodu 0,9% 0,10 >> 0,26 mg/ml 25°C Nie wyszczególniony
8 Godzina
3237
Dane stabilności producenta

Poliolefina Chlorek sodu 0,9% 0,15 mg/ml 25°C Chronić od światła
28 Dzień
3804
Poziom wiarygodności A

Poliolefina Chlorek sodu 0,9% 0,15 mg/ml 4°C Chronić od światła
28 Dzień
3804
Poziom wiarygodności A

Poliolefina Chlorek sodu 0,9% 0,26 mg/ml -20°C Nie wyszczególniony
49 Dzień
4800
Poziom wiarygodności A

Poliolefina Chlorek sodu 0,9% 0,26 mg/ml 25°C Nie wyszczególniony
21 Dzień
4800
Poziom wiarygodności A

Poliolefina Chlorek sodu 0,9% 0,26 mg/ml 4°C Nie wyszczególniony
21 Dzień
4800
Poziom wiarygodności A

Poliolefina Glukoza 5% 0,1 mg/ml -20°C Nie wyszczególniony
49 Dzień
4800
Poziom wiarygodności A

Poliolefina Glukoza 5% 0,1 mg/ml 25°C Nie wyszczególniony
21 Dzień
4800
Poziom wiarygodności A

Poliolefina Glukoza 5% 0,1 mg/ml 4°C Nie wyszczególniony
21 Dzień
4800
Poziom wiarygodności A

Poliolefina Glukoza 5% 0,1 >>0,26 mg/ml 25°C Chronić od światła
28 Dzień
4761
Poziom wiarygodności A

Poliolefina Glukoza 5% 0,10 >> 0,26 mg/ml 2-8°C Nie wyszczególniony
48 Godzina
3237
Dane stabilności producenta

Poliolefina Glukoza 5% 0,10 >> 0,26 mg/ml 25°C Nie wyszczególniony
8 Godzina
3237
Dane stabilności producenta

Poliolefina Glukoza 5% 0,26 mg/ml -20°C Nie wyszczególniony
49 Dzień
4800
Poziom wiarygodności A

Poliolefina Glukoza 5% 0,26 mg/ml 25°C Nie wyszczególniony
21 Dzień
4800
Poziom wiarygodności A

Poliolefina Glukoza 5% 0,26 mg/ml 4°C Nie wyszczególniony
21 Dzień
4800
Poziom wiarygodności A


  Mentions Légales