Poslední aktualizace :
27/01/2026
vėžio narkotikų   Cabazitaxel  
Įpurškimas
Tirpalų stabilumas Mišinių stabilumas Stabilumą lemiantys veiksniai Suderinamumas Leidimo būdai Bibliografija pdf
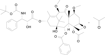
   Cheminė sandara  

Prekinis pavadinimas   Prekinis pavadinimas     

Trade names are indicative and excipients composition can be different depending on the country and manufacturers

Cabazil Argentina
Cabazitaxel Danija, Ispanija, Suomija, Vokietija
Cecalter Argentina
Jevtana Argentina, Australija, Belgija, Brazilija, Čilė, Danija, Didžioji Britanija, Ekvadoras, Islandija, Ispanija, Italija, Jungtinės Amerikos Valstijos, Kanada, Kolumbija, Malaizija, Meksikas, Norvegija, Peru, Prancūzija, Rumunija, Slovėnija, Suomija, Šveicarija, Turkija, Vokietija
Proazitax Brazilija
Xatiza Čilė
Zitat Argentina
Tirpalų stabilumas   Įpurškimas   Tirpalų stabilumas : Cabazitaxel     
Pakuotė Tirpiklis Koncentracija Temperatūra Laikymas Stabilumo trukmė Nuorodos
Stiklas Nėra 10 mg/ml 4°C Apsaugotas nuo šviesos
28 Diena
3804
Bandymo lygis A

Stiklas specifinis tirpiklis 10 mg/ml -20°C Nenurodyta
49 Diena
4800
Bandymo lygis A

dalinai naudotų butelių Nėra 20 mg/ml 25°C Apsaugotas nuo šviesos
28 Diena
4761
Bandymo lygis A

Polietilenas Natrio chloridas 0,9% 0,1 >>0,26 mg/ml 25°C Apsaugotas nuo šviesos
28 Diena
4761
Bandymo lygis A

Polietilenas Gliukozė 5% 0,1 >>0,26 mg/ml 25°C Apsaugotas nuo šviesos
28 Diena
4761
Bandymo lygis A

Polipropilenas Natrio chloridas 0,9% 0,1 >>0,26 mg/ml 2-8°C Apsaugotas nuo šviesos
28 Diena
4761
Bandymo lygis A

Polipropilenas Gliukozė 5% 0,1 >>0,26 mg/ml 2-8°C Apsaugotas nuo šviesos
28 Diena
4761
Bandymo lygis A

Poliolefinas Natrio chloridas 0,9% 0,1 mg/ml -20°C Nenurodyta
49 Diena
4800
Bandymo lygis A

Poliolefinas Natrio chloridas 0,9% 0,1 mg/ml 25°C Nenurodyta
21 Diena
4800
Bandymo lygis A

Poliolefinas Natrio chloridas 0,9% 0,1 mg/ml 4°C Nenurodyta
21 Diena
4800
Bandymo lygis A

Poliolefinas Natrio chloridas 0,9% 0,1 >>0,26 mg/ml 25°C Apsaugotas nuo šviesos
28 Diena
4761
Bandymo lygis A

Poliolefinas Natrio chloridas 0,9% 0,10 >> 0,26 mg/ml 2-8°C Nenurodyta
48 Valanda
3237
Gamintojo stabilumo duomenys

Poliolefinas Natrio chloridas 0,9% 0,10 >> 0,26 mg/ml 25°C Nenurodyta
8 Valanda
3237
Gamintojo stabilumo duomenys

Poliolefinas Natrio chloridas 0,9% 0,15 mg/ml 25°C Apsaugotas nuo šviesos
28 Diena
3804
Bandymo lygis A

Poliolefinas Natrio chloridas 0,9% 0,15 mg/ml 4°C Apsaugotas nuo šviesos
28 Diena
3804
Bandymo lygis A

Poliolefinas Natrio chloridas 0,9% 0,26 mg/ml -20°C Nenurodyta
49 Diena
4800
Bandymo lygis A

Poliolefinas Natrio chloridas 0,9% 0,26 mg/ml 25°C Nenurodyta
21 Diena
4800
Bandymo lygis A

Poliolefinas Natrio chloridas 0,9% 0,26 mg/ml 4°C Nenurodyta
21 Diena
4800
Bandymo lygis A

Poliolefinas Gliukozė 5% 0,1 mg/ml -20°C Nenurodyta
49 Diena
4800
Bandymo lygis A

Poliolefinas Gliukozė 5% 0,1 mg/ml 25°C Nenurodyta
21 Diena
4800
Bandymo lygis A

Poliolefinas Gliukozė 5% 0,1 mg/ml 4°C Nenurodyta
21 Diena
4800
Bandymo lygis A

Poliolefinas Gliukozė 5% 0,1 >>0,26 mg/ml 25°C Apsaugotas nuo šviesos
28 Diena
4761
Bandymo lygis A

Poliolefinas Gliukozė 5% 0,10 >> 0,26 mg/ml 2-8°C Nenurodyta
48 Valanda
3237
Gamintojo stabilumo duomenys

Poliolefinas Gliukozė 5% 0,10 >> 0,26 mg/ml 25°C Nenurodyta
8 Valanda
3237
Gamintojo stabilumo duomenys

Poliolefinas Gliukozė 5% 0,26 mg/ml -20°C Nenurodyta
49 Diena
4800
Bandymo lygis A

Poliolefinas Gliukozė 5% 0,26 mg/ml 25°C Nenurodyta
21 Diena
4800
Bandymo lygis A

Poliolefinas Gliukozė 5% 0,26 mg/ml 4°C Nenurodyta
21 Diena
4800
Bandymo lygis A


  Mentions Légales