Seneste opdatering :
27/01/2026
Elektrolyt   Calcium gluconate  
Salver
Injektion
Stabilitet af farmaceutiske tilberedninger Stabilitet i blandinger Faktorer der påvirker stabiliteten Kompatibilitet Bibliografi pdf
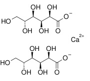
   Kemisk struktur  

Salver
Stabilitet af farmaceutiske tilberedninger   Salver   Stabilitet af farmaceutiske tilberedninger : Calcium gluconate     
Beholder Origine Hjælpestof Temperatur Konservering Varighed af stabilitet Bibliografi
Glas Pulver 2.5 g
Calcium gluconate
Hydroxyethylcellulose 3 g
Propylenglycol 5 g
Renset vand 87 g
25°C Ikke nærmere angivet
180 Dag
3017


  Mentions Légales