最新更新 :
27/01/2026
電解質   Calcium gluconate  
軟膏薬
注射薬
調剤時の安定性 混合時の安定性 安定性に影響する因子 互換性 引用文献 PDF
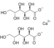
   化学構造  

軟膏薬
調剤時の安定性   軟膏薬   調剤時の安定性 : Calcium gluconate     
容器 Origine 添加剤 温度 保管 安定期間 引用文献
ガラス 粉 2.5 g
Calcium gluconate
ヒドロキシエチルセルロース 3 g
プロピレングリコール 5 g
精製水 87 g
25°C 特記なし
180 日
3017


  Mentions Légales