Senaste uppdateringen :
27/01/2026
elektrolyt   Calcium gluconate  
Salvor
injektion
Stabilitet av läkemedel Stabilitet i blandningar Faktorer som påverkar stabiliteten Kompatibilitet Hänvisningar pdf
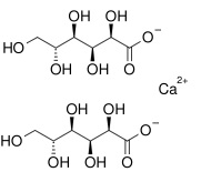
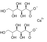
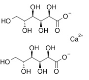
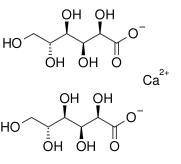
   Molekylstruktur  

Salvor
Stabilitet av läkemedel   Salvor   Stabilitet av läkemedel : Calcium gluconate     
Behållare Origine Hjälpämne Temperatur Förvaring Stabilitets varaktighet Hänvisningar
Glas Pulver 2.5 g
Calcium gluconate
Hydroxietylcellulosa 3 g
Propylenglykol 5 g
Renat vatten 87 g
25°C Ej angiven
180 Dag
3017


  Mentions Légales