Última actualización :
27/01/2026
electrólito   Calcium gluconate  
Preparaciones tópicas
Inyectables
La estabilidad de las preparaciones farmacéuticas Estabilidad en mezcla Factores que influyen sobre la estabilidad Compatibilidades Bibliografía pdf
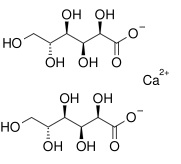
   Estructura química  

Preparaciones tópicas
La estabilidad de las preparaciones farmacéuticas   Preparaciones tópicas   La estabilidad de las preparaciones farmacéuticas : Calcium gluconate     
Envase Origine Excipiente Temperatura Conservación Duración de la estabilidad Bibliografía
Vidrio Polvo 2.5 g
Calcium gluconate
Hidroxietilcelulosa 3 g
Propilenglicol 5 g
Agua purificada 87 g
25°C No precisada
180 Día
3017


  Mentions Légales