Viimeisin päivitys :
27/04/2026
elektrolyytti   Calcium gluconate  
Salvat
Injektioneste
Vakaus lääkevalmisteen Stabilius seoksissa Tekijät, jotka vaikuttavat stabiliuteen Yhteensopivuus Viitteet pdf
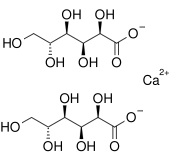
   Kemiallinen rakenne  

Salvat
Vakaus lääkevalmisteen   Salvat   Vakaus lääkevalmisteen : Calcium gluconate     
Astia Origine Apuaine Lämpötila Säilytys Vakauden kesto Viitteet
Lasi Jauhe 2.5 g
Calcium gluconate
Hydroksietyyliselluloosa 3 g
Propyleeniglykoli 5 g
Puhdistettu vesi 87 g
25°C Ei määritetty
180 Päivä
3017


  Mentions Légales