Last update :
27/01/2026
Anticancer drug   Etoposide  
Oral solution
injection
Stability of pharmaceutical preparations Stability of mixtures Factors which affect stability Compatibility References pdf
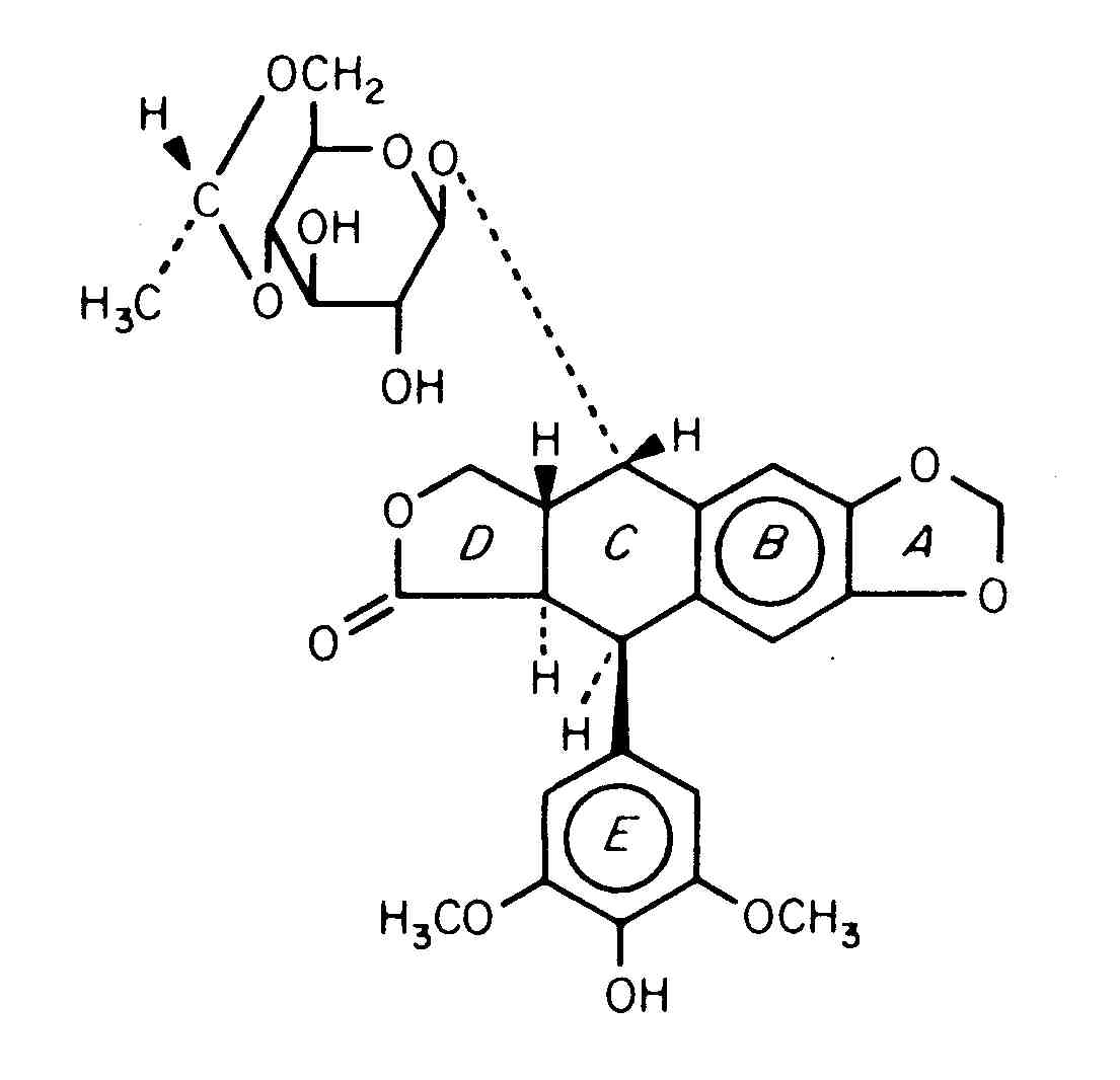
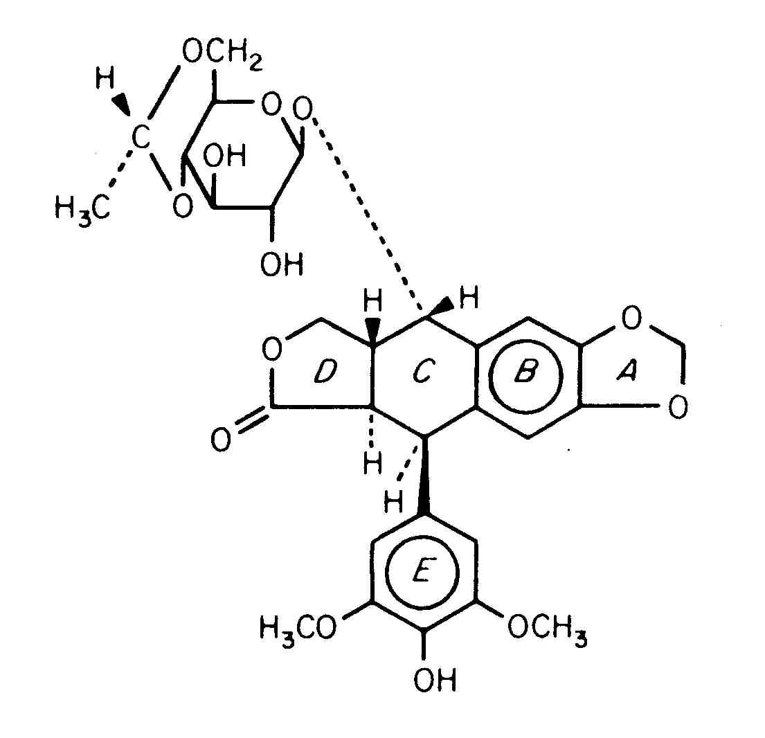
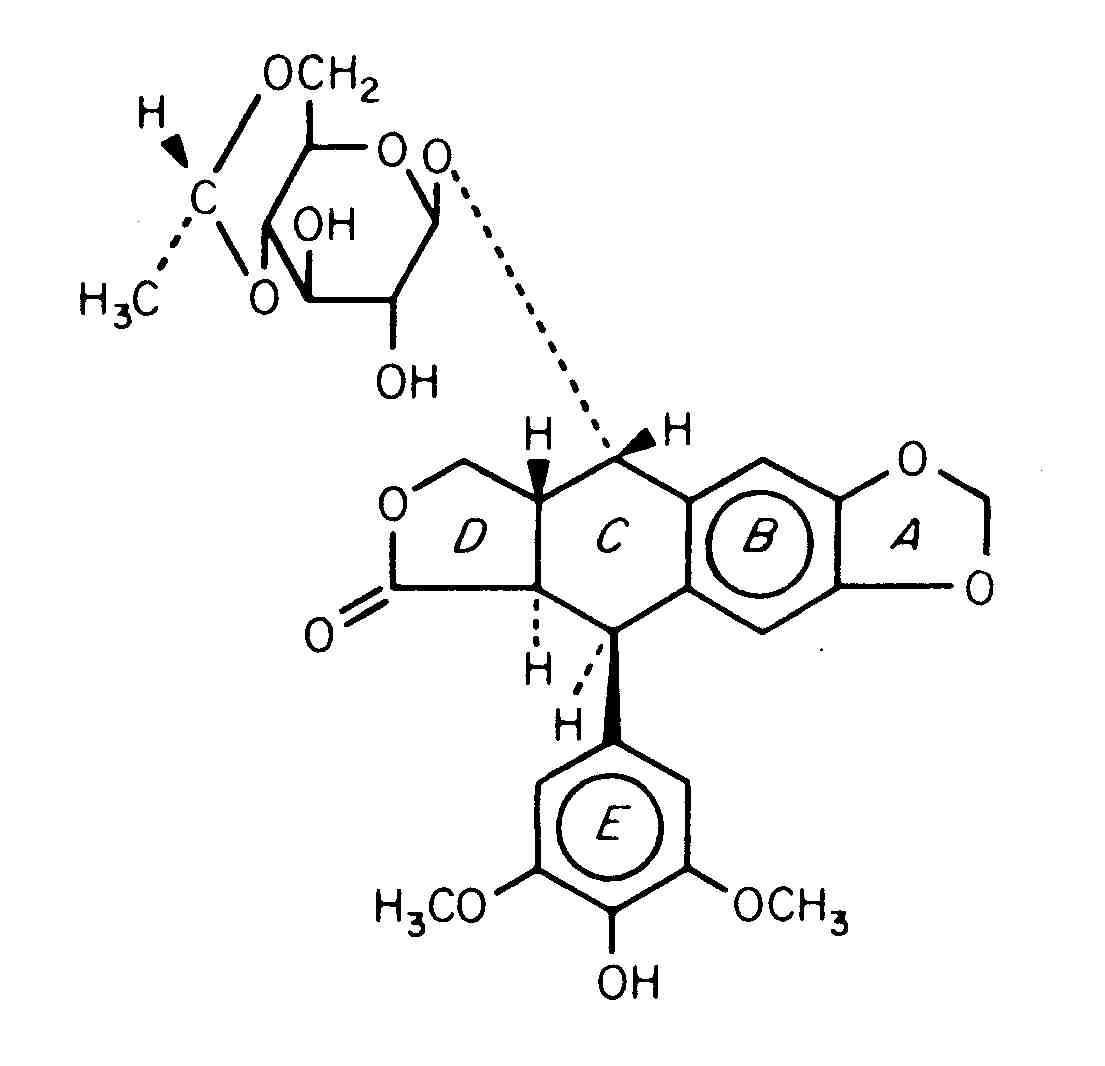
   Chemical structure  

Oral solution
Stability of pharmaceutical preparations   Oral solution   Stability of pharmaceutical preparations : Etoposide     
Container Origine excipient Temperature Storage Duration of stability References
syringe Medicine bottle for injection 20 mg
Vepeside®
NaCl 0.9% >>2 ml
2-8°C Protect from light
31 Day
1992

syringe Medicine bottle for injection 20 mg
Vepeside®
NaCl 0.9% >>2 ml
20-25°C With or without light
31 Day
1992

syringe Medicine bottle for injection 50 mg
VePesid®
NaCl 0.9% >> 5 ml
22°C With or without light
22 Day
2482


  Mentions Légales