zadnja posodobitev :
27/01/2026
rak drog   Etoposide  
Peroralna raztopina
Brizgalka
Stabilnost farmacevtskih preparatov Stabilnost mešanice Faktorji, ki vplivajo na stabilnost Kompatibilnost Viri pdf
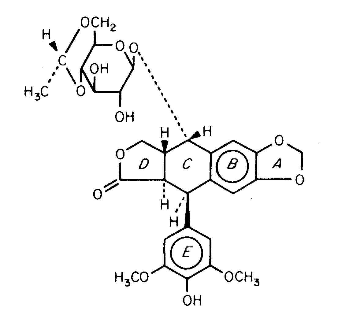
   Kemična formula  

Peroralna raztopina
Stabilnost farmacevtskih preparatov   Peroralna raztopina   Stabilnost farmacevtskih preparatov : Etoposide     
Vsebnik Origine Ekscipient Temperatura Shranjevanje Trajanje stabilnosti Viri
Brizgalka Medicinske steklenica za injiciranje 20 mg
Vepeside®
NaCl 0.9% >>2 ml
2-8°C Zaščiteno pred svetlobo
31 Dan
1992

Brizgalka Medicinske steklenica za injiciranje 20 mg
Vepeside®
NaCl 0.9% >>2 ml
20-25°C Z ali brez svetlobe
31 Dan
1992

Brizgalka Medicinske steklenica za injiciranje 50 mg
VePesid®
NaCl 0.9% >> 5 ml
22°C Z ali brez svetlobe
22 Dan
2482


  Mentions Légales