Viimeisin päivitys :
27/01/2026
syöpälääke   Etoposide  
Oraaliliuos
Injektioneste
Vakaus lääkevalmisteen Stabilius seoksissa Tekijät, jotka vaikuttavat stabiliuteen Yhteensopivuus Viitteet pdf
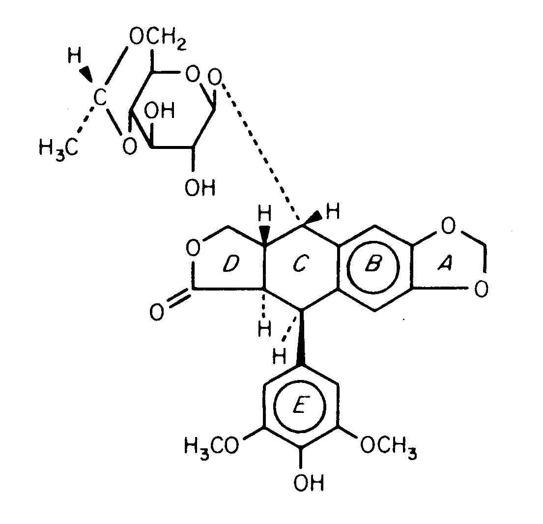
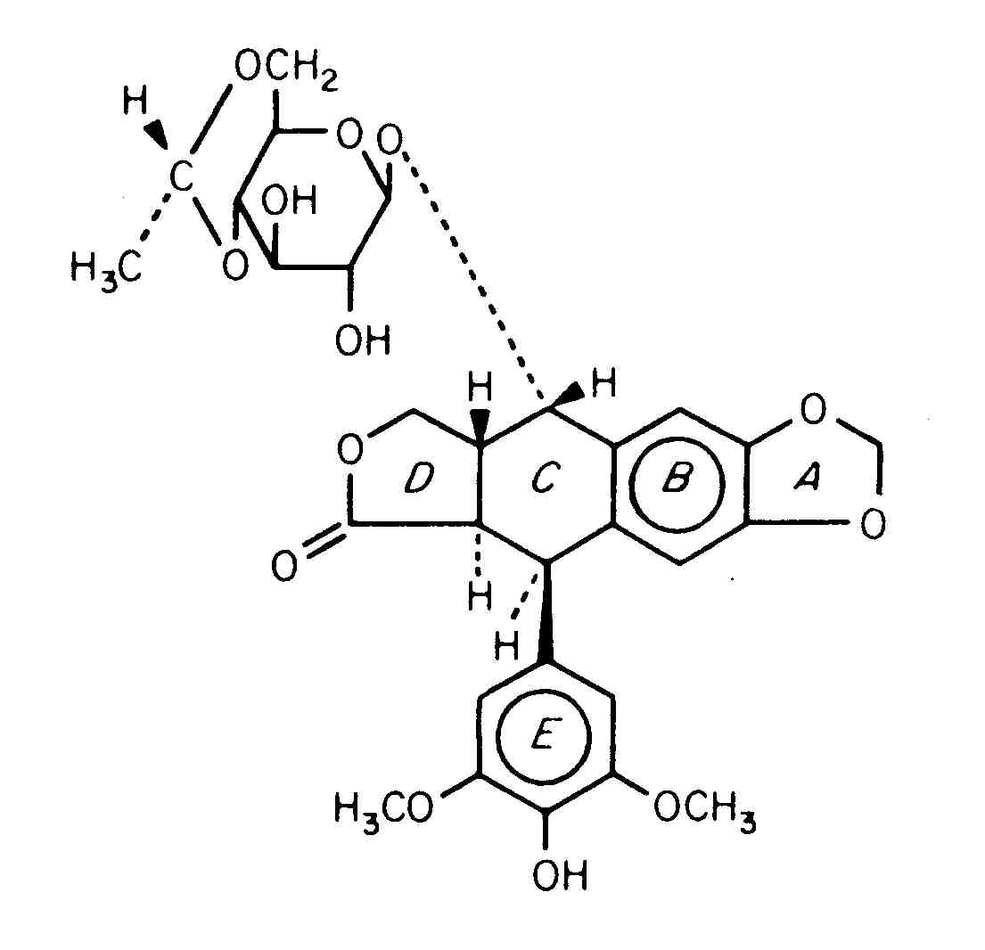
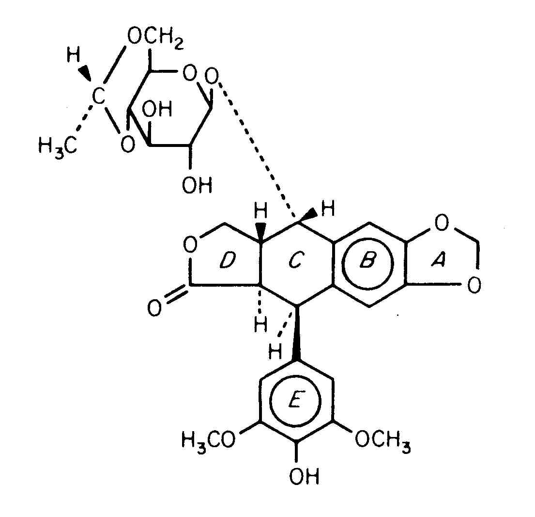
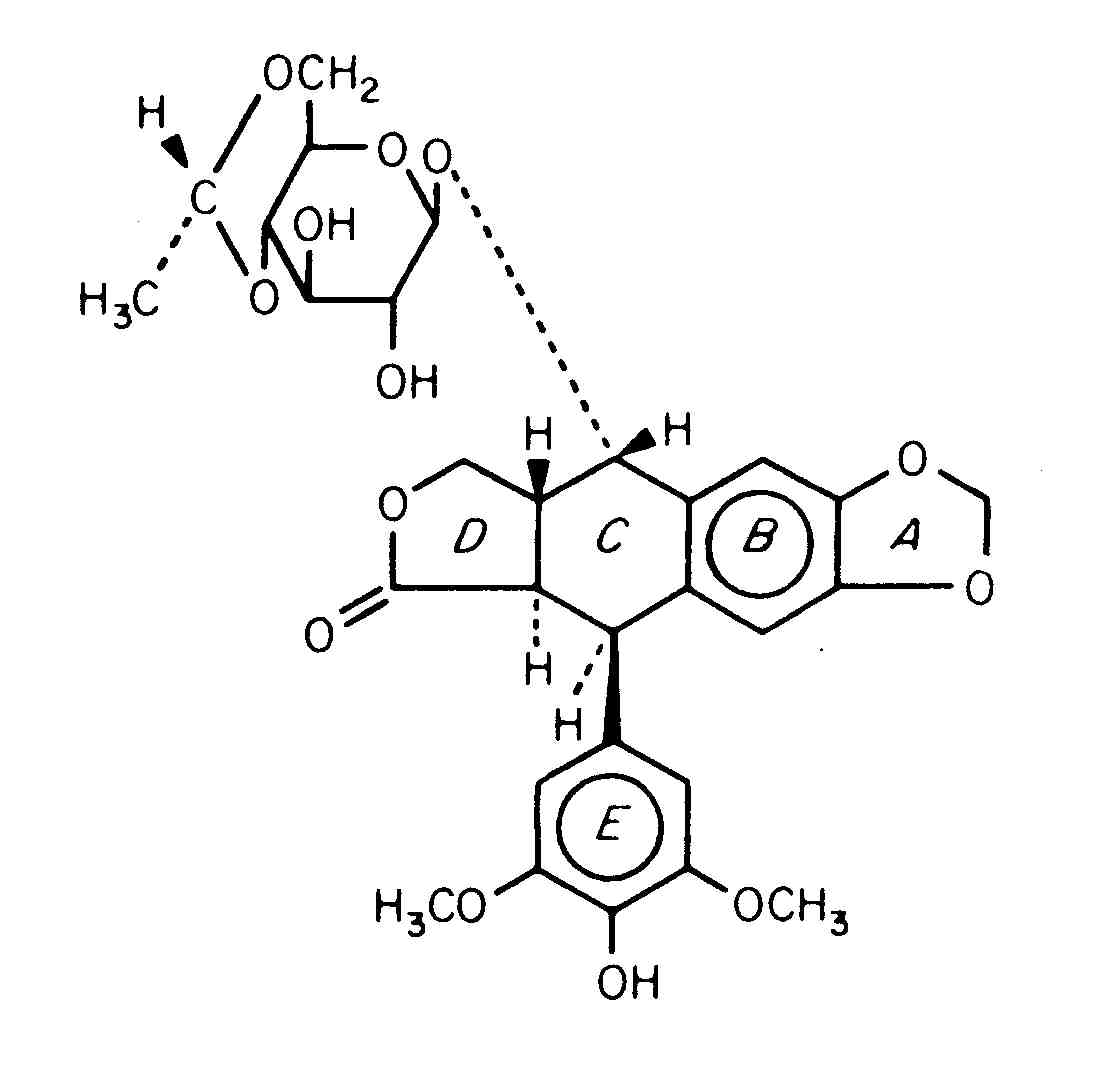
   Kemiallinen rakenne  

Oraaliliuos
Vakaus lääkevalmisteen   Oraaliliuos   Vakaus lääkevalmisteen : Etoposide     
Astia Origine Apuaine Lämpötila Säilytys Vakauden kesto Viitteet
Ruisku Injektionestepullo 20 mg
Vepeside®
NaCl 0,9 % >>2 ml
2-8°C Suojattava valolta
31 Päivä
1992

Ruisku Injektionestepullo 20 mg
Vepeside®
NaCl 0,9 % >>2 ml
20-25°C Valossa tai suojassa valolta
31 Päivä
1992

Ruisku Injektionestepullo 50 mg
VePesid®
NaCl 0,9 % >> 5 ml
22°C Valossa tai suojassa valolta
22 Päivä
2482


  Mentions Légales