Последнее обновление :
27/04/2026
Цитостатическое средство   Etoposide  
Раствор для перорального приёма
Инъекция
Стабильность фармацевтических препаратов Стабильность смесей Факторы, которые влияют на стабильность Совместимость Библиография pdf
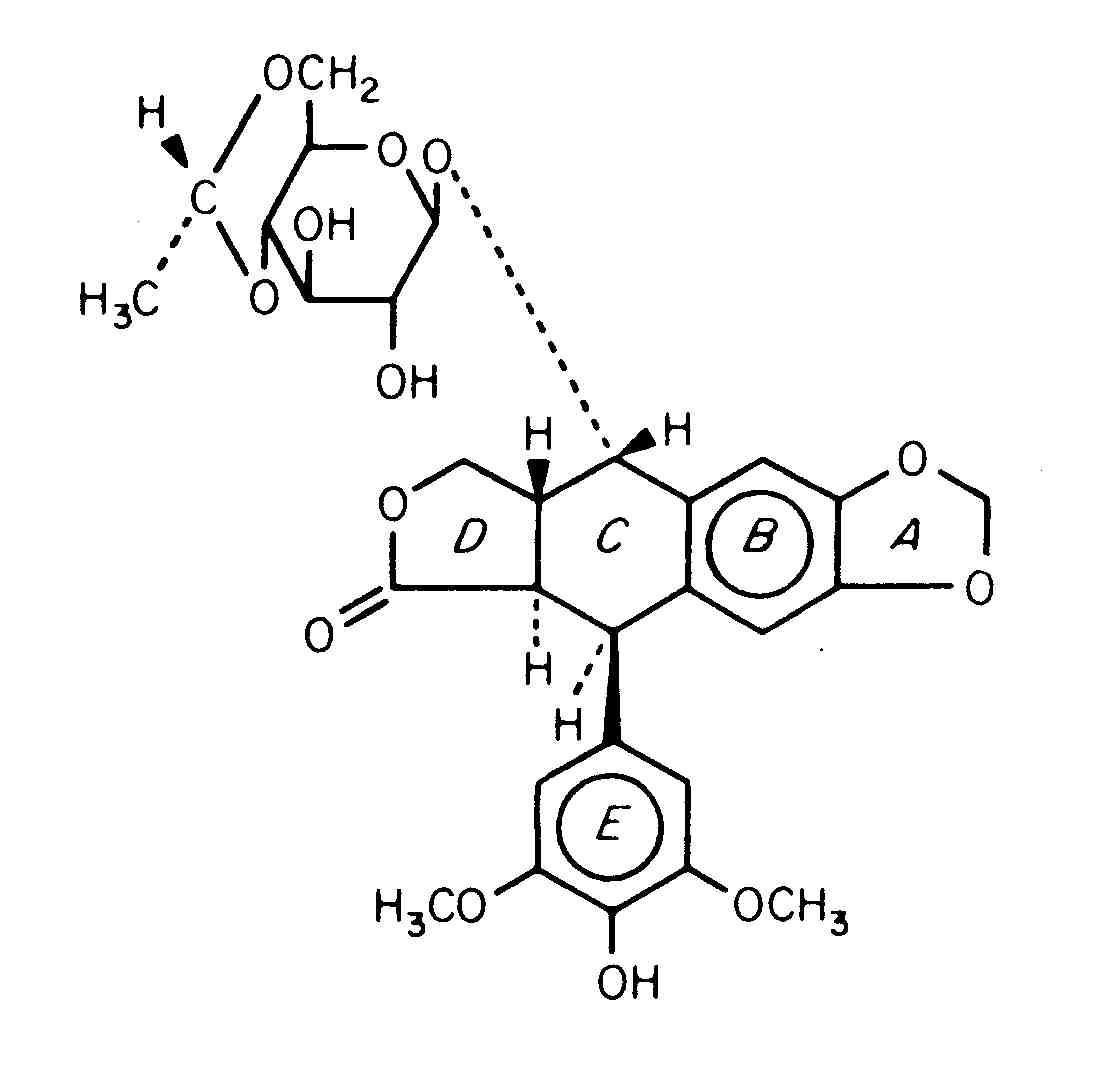
   Химическая структура  

Раствор для перорального приёма
Стабильность фармацевтических препаратов   Раствор для перорального приёма   Стабильность фармацевтических препаратов : Etoposide     
Упаковка Origine Наполнитель Температура Хранение Продолжительность стабильности Ссылки
Шприц Медицинская бутылка для инъекций 20 mg
Vepeside®
Хлорид натрия 0,9% >>2 ml
2-8°C Защищён от света
31 День
1992

Шприц Медицинская бутылка для инъекций 20 mg
Vepeside®
Хлорид натрия 0,9% >>2 ml
20-25°C И на свету и в темноте
31 День
1992

Шприц Медицинская бутылка для инъекций 50 mg
VePesid®
Хлорид натрия 0,9% >> 5 ml
22°C И на свету и в темноте
22 День
2482


  Mentions Légales