آخر تحديث :
27/01/2026
المضادة للسرطان المخدرات   Etoposide  
عن طريق الفم
حقن
استقرار المستحضرات الصيدلانية استقرار مخاليط العوامل التي تؤثر على الاستقرار التوافق مراجع pdf
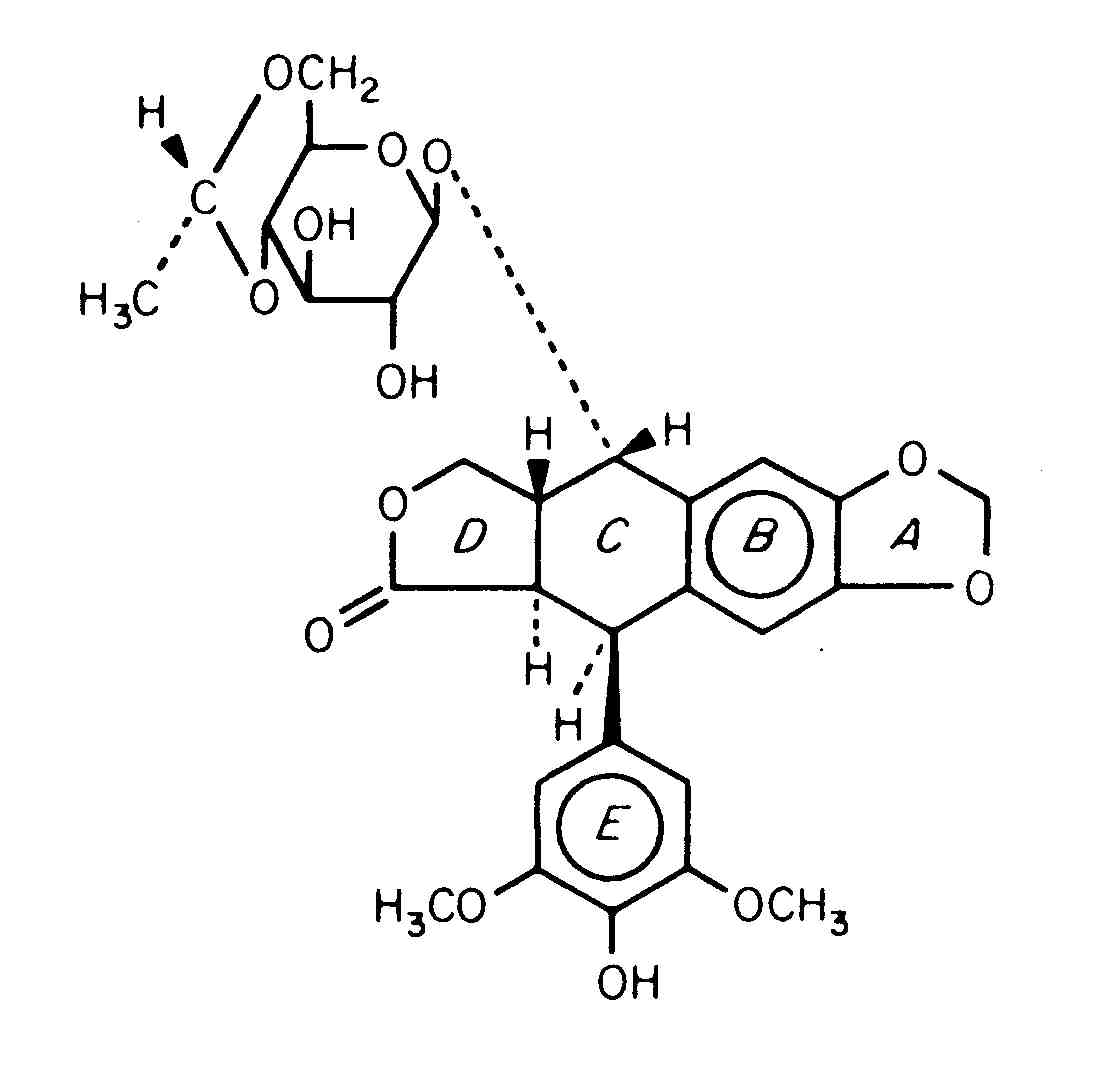
   التركيب الكيميائي  

عن طريق الفم
استقرار المستحضرات الصيدلانية   عن طريق الفم     استقرار المستحضرات الصيدلانية : Etoposide     
حاوية Origine الاضافات درجة الحرارة تخزين مدة الاستقرار مراجع
حقنة زجاجة الدواء للحقن 20 mg
Vepeside®
كلوريد الصوديوم 0.9 >>2 ml
2-8°C بعيدا عن الضوء
31 يوم
1992

حقنة زجاجة الدواء للحقن 20 mg
Vepeside®
كلوريد الصوديوم 0.9 >>2 ml
20-25°C مع أو بدون ضوء
31 يوم
1992

حقنة زجاجة الدواء للحقن 50 mg
VePesid®
كلوريد الصوديوم 0.9 >> 5 ml
22°C مع أو بدون ضوء
22 يوم
2482


  Mentions Légales