Ostatnia aktualizacja :
27/04/2026
Lek cytostatyk   Etoposide  
Roztwór doustny
Injekcje
Stabilność preparatów farmaceutycznych Trwałość w mieszaninie Czynnik wpływający na trwałość Zgodność Bibliografia pdf
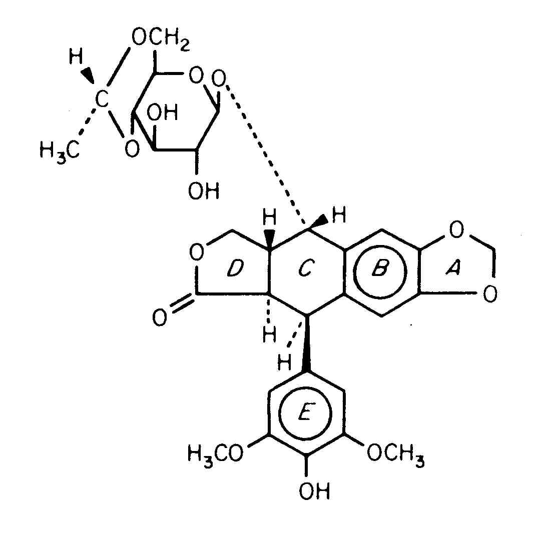
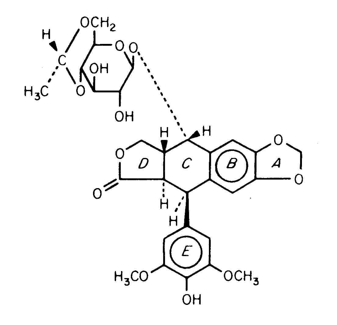
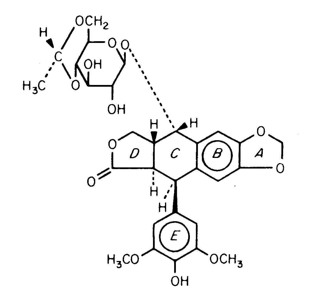
   Struktura chemiczna  

Roztwór doustny
Stabilność preparatów farmaceutycznych   Roztwór doustny   Stabilność preparatów farmaceutycznych : Etoposide     
Pojemnik Origine Substancja pomocniczna Temperatura Przechowywanie Czas trwania stabilności Bibliografia
Strzykawka Fiolka 20 mg
Vepeside®
NaCl 0.9% >>2 ml
2-8°C Chronić od światła
31 Dzień
1992

Strzykawka Fiolka 20 mg
Vepeside®
NaCl 0.9% >>2 ml
20-25°C Przy świetle lub w ciemności
31 Dzień
1992

Strzykawka Fiolka 50 mg
VePesid®
NaCl 0.9% >> 5 ml
22°C Przy świetle lub w ciemności
22 Dzień
2482


  Mentions Légales