Senaste uppdateringen :
27/01/2026
Antihypertensivum   Enalapril maleate  
Oral lösning
Stabilitet av läkemedel Stabilitet i blandningar Faktorer som påverkar stabiliteten Kompatibilitet Hänvisningar pdf
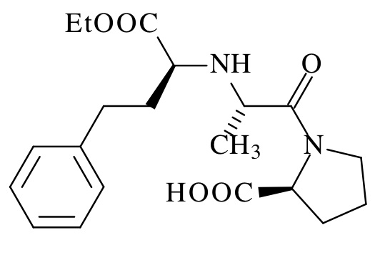
   Molekylstruktur  

Oral lösning
Stabilitet i blandningar   Oral lösning   Stabilitet i blandningar : Enalapril maleate     
Ingen uppgift

  Mentions Légales