Última actualización :
27/01/2026
Antihipertensor   Enalapril maleate  
Solución Oral
La estabilidad de las preparaciones farmacéuticas Estabilidad en mezcla Factores que influyen sobre la estabilidad Compatibilidades Bibliografía pdf
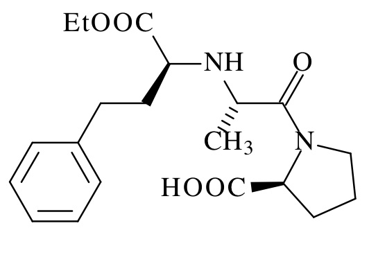
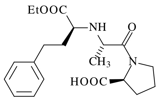
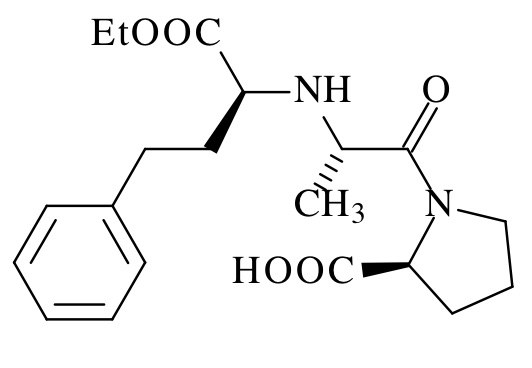
   Estructura química  

Solución Oral
Estabilidad en mezcla   Solución Oral   Estabilidad en mezcla : Enalapril maleate     
Ausencia de datos

  Mentions Légales