Seneste opdatering :
27/01/2026
Antihypertensiv   Enalapril maleate  
Oral opløsning
Stabilitet af farmaceutiske tilberedninger Stabilitet i blandinger Faktorer der påvirker stabiliteten Kompatibilitet Bibliografi pdf
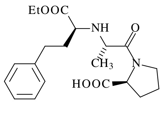
   Kemisk struktur  

Oral opløsning
Stabilitet i blandinger   Oral opløsning   Stabilitet i blandinger : Enalapril maleate     
Ingen data

  Mentions Légales